High-Quality Recombinant CD19 Proteins for B-Cell Malignancy Research and Antibody-Based Therapy Development
CD19 is a pivotal transmembrane glycoprotein involved in B cell activation and humoral immune responses, making it a critical focus for therapies targeting B-cell malignancies such as chronic lymphocytic leukemia (CLL), acute lymphoblastic leukemia (ALL), and various non-Hodgkin lymphomas. Its universal expression throughout B-cell development and pivotal role in activating signaling pathways make it an ideal focus for developing antibody-based treatments, including bispecific antibodies, ADCs, Fc-engineered antibodies, and CAR-T cell therapy.
Our high-quality CD19 proteins—available as human, cynomolgus, rhesus macaque, and mouse—are designed for applications such as antibody screening, CAR-T cell therapy development, and affinity measurements. Validated through ELISA, SPR, and flow cytometry, these CD19 proteins ensure reliability and efficacy in your research. Browse our recombinant CD19 protein products to accelerate the development of innovative CD19-targeted therapies.
Product Features
Our recombinant CD19 protein products offer versatility and reliability, available in various species, including human, cynomolgus, rhesus macaque, and mouse. These CD19 proteins have been validated for high binding affinity, using by SPR and ELISA. With off-the-shelf catalog products in stock, we ensure short lead times to meet your research needs efficiently.
Various Species
Human, Cynomolgus, Rhesus Macaque, Mouse
High Monomer Rate
Expressed with small tag (His) with optimal monomer rate
High Binding Affinity
High binding affinity verified by SPR and ELISA
In Stock
Off-the-shelf catalog products with short lead time
Product Validation Data
Our team has performed extensive binding affinity and activity verification of our CD19 protein products including FACS detection of anti-CD19 CAR cells as well as ELISA and SPR verification using anti-CD19 antibodies. Our CD19 products also undergo purity and identity testing using HPLC and Bis-Tris page.
High binding affinity verified by ELISA and SPR
Figure 2. Dose-response curve for Coltuximab, hFc Tag, using immobilized Human CD19, His Tag at a concentration of 2 µg/mL (100 µL/well) on the plate. Results show an EC50 of 5.3 ng/mL, demonstrating the protein's high binding affinity and suitability for antibody screening applications.
Figure 3. Dose-response curve for FMC63, mFc Tag, using immobilized Human CD19, His Tag at a concentration of 2 µg/mL (100 µL/well) on the plate. Results show an EC50 of 10.0 ng/mL, highlighting the protein's high binding affinity and its suitability for applications such as antibody screening and therapeutic development.
Figure 4. Dose-response curve for Inebilizumab, hFc Tag, using immobilized Human CD19, His Tag at a concentration of 1 µg/mL (100 µL/well) on the plate. Results show an EC50 an 11.5 ng/mL, demonstrating the protein's high binding affinity and its effectiveness in antibody screening assays.
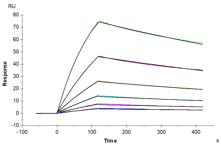
Figure 5. SPR assay showing binding interaction between an anti-CD19 antibody, hFc Tag, captured on a CM5 Chip via Protein A, and Cynomolgus/Rhesus macaque CD19, His Tag. The binding affinity was determined using a Biacore T200 and revealed an affinity constant of 0.46 µM, demonstrating the robust interaction between the antibody and CD19 protein.
Available Products
We offer the following off-the-shelf CD19 protein catalog products. If you'd like to customize your CD19 protein, please submit a custom protein request. To learn more about our products, or for scientific inquiries, contact our team at support@kactusbio.us.
Customize your protein
Immune Checkpoint Proteins
CAR-T Targets
SPR Analysis Services
CD19 Recombinant Proteins FAQs
Recombinant CD19 proteins are widely used for antibody screening, CAR-T cell therapy development, and measuring T cell binding and function. Due to CD19’s consistent expression across B cell stages and its role in B cell activation, these proteins serve as key tools for studying B-cell malignancies such as CLL, ALL, and lymphoma.
We offer CD19 proteins from human, cynomolgus/rhesus macaque, and mouse. This allows for cross-species validation in preclinical studies, especially for immunogenicity testing and therapeutic antibody development.
Most CD19 proteins are offered with a C-terminal or N-terminal His tag for easy purification and detection. We also offer fluorescent-labeled CD19 proteins, such as FITC-compatible versions, which are specifically designed for flow cytometry (FACS) and CAR-T detection applications.
Yes, the FITC-compatible human CD19 protein is specifically validated for detecting anti-CD19 CAR-T cells. It demonstrates high specificity and sensitivity in FACS assays, enabling accurate measurement of CAR expression in cell populations.
We verify binding affinity through dose-response ELISA and SPR assays using known anti-CD19 antibodies such as Coltuximab, FMC63, and Inebilizumab. These tests confirm that the recombinant CD19 proteins are biologically active and suitable for functional screening.
While structurally similar, cross-species CD19 proteins differ in epitope regions and immunogenicity, which is important in preclinical model selection. Our cynomolgus/rhesus CD19 supports testing in non-human primates, enabling translational studies before moving to human models.
Yes. Our team can provide custom-tagged, biotinylated, or fluorescent CD19 proteins tailored to your assay requirements. You may also request constructs with specific amino acid ranges or modified glycosylation profiles depending on your research needs.
We provide detailed validation data including EC50 values from ELISA, KD values from SPR, and FACS data on CAR cell detection. This information helps researchers choose the right protein format and ensure reliable performance in their assays.
Most of our CD19 catalog products are in stock and ready for next-day shipping. For custom CD19 constructs, the lead time is typically 4–6 weeks, depending on the complexity of the request.
You can order directly from our website or contact orders@kactusbio.us for purchase orders. For custom protein requests, submit the custom protein form or email sales@kactusbio.us with your specifications.




