We're upgrading our full protein catalog to ultra-low endotoxin levels.
KACTUS is continually committed to exceptional quality. That's why are taking the initiative to upgrade our entire recombinant protein catalog to endotoxin levels < 0.01 EU/μg or even < 0.001 EU/μg.
We are completing this catalog upgrade with no compromise on performance – just cleaner, more reliable proteins tailored to your drug development needs.
Browse our current low-endotoxin catalog product list
For all low-endotoxin catalog proteins, we guarantee endotoxin levels <0.01 EU/ug
For more strict endotoxin control, please contact us at sales@kactusbio.us.
Features of KACTUS Low Endotoxin Proteins
→ Ultra-Low Endotoxin: Endotoxin levels <0.01 or <0.001 EU/μg—surpassing industry standards and minimizing the risk of immune interference.
→ High Purity: >90% purity confirmed by Tris-Bis PAGE for consistent performance.
→ Stringent Quality Control: Every lot is tested for purity and endotoxin content to ensure batch-to-batch consistency.
Advantages of KACTUS Low Endotoxin Proteins
→ Immunization-Ready: Suitable for animal immunogenicity studies and injections, reducing the risk of endotoxin-driven inflammatory responses.
→ Assay-Compatible: Optimized for ELISA and flow cytometry—minimizing background signal by reducing endotoxin interference with antigen–antibody binding.
Featured Products
Product Validation Data
Non-biotinylated Human TNF alpha Protein (active trimer), Ultra Low Endotoxin (TNF-HM40A-UL)
Endotoxin: Less than 0.01 EU per ug by the LAL method.

The purity of Human TNF alpha is greater than 95% as determined by SEC-HPLC.

The purity of Human TNF alpha is greater than 95% and the molecular weight of this protein is around 55-76 kDa as determined by SEC-MALS.

Immobilized Human TNF alpha, His Tag at 5ug/ml (100ul/well) on the plate. Dose response curve for Human TNFR2, mFc Tag with the EC50 of 45.8ng/ml determined by ELISA (QC Test).

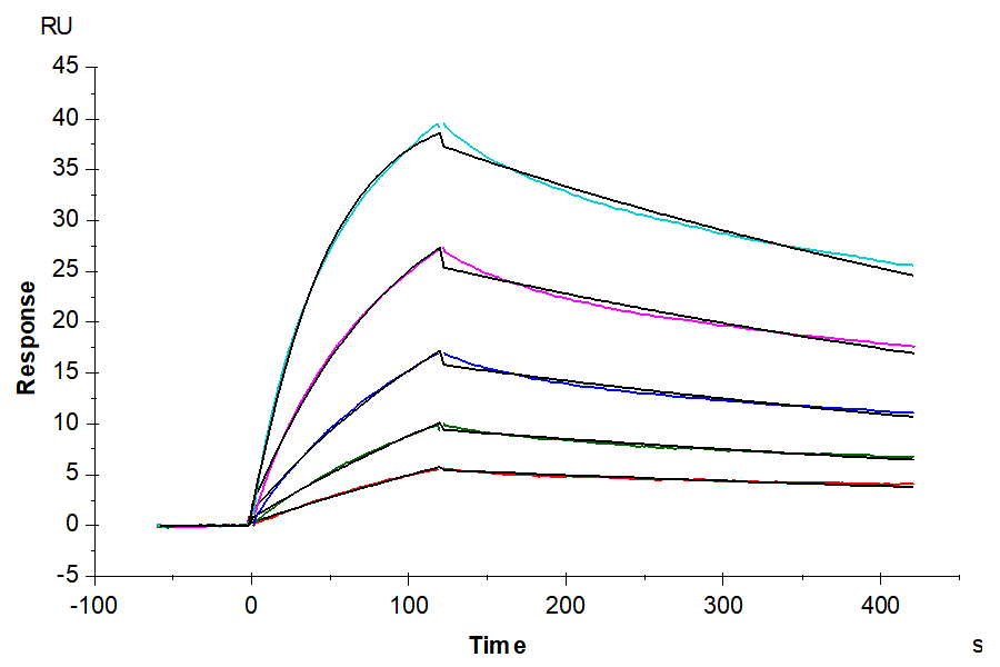
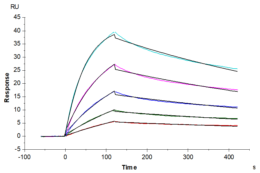
Human TNF alpha, His Tag captured on CM5 Chip via anti-his antibody can bind Human TNFR2, mFc Tag with an affinity constant of 1.62 nM as determined in SPR assay (Biacore T200).
Human PSMA/FOLH1 Protein (active dimer), Ultra Low Endotoxin (PSM-HM110-UL)
Endotoxin: Less than 0.01 EU per ug by the LAL method.

The purity of Human PSMA is greater than 95% as determined by SEC-HPLC.

The purity of Human PSMA is greater than 95% and the molecular weight of this protein is around 170-220 kDa as determined by SEC-MALS.

Immobilized Human PSMA, His Tag at 2ug/ml (100ul/Well) on the plate. Dose response curve for Anti-PSMA Antibody, hFc Tag with the EC50 of 4.1ng/ml determined by ELISA.

Loaded Anti-PSMA Ab., hFc Tag on ProA-Biosensor can bind Human PSMA, His Tag with an affinity constant of 1.74 nM as determined in BLI assay (Gator® Prime).
Why choose KACTUS for low endotoxin proteins?
Custom Low Endotoxin Protein Expression Services
KACTUS offers custom recombinant protein expression services tailored to meet stringent endotoxin requirements for preclinical and immunotherapy research. Our optimized expression systems—paired with purification workflows designed to minimize endotoxin contamination—enable the production of high-purity proteins with endotoxin levels as low as <0.001 EU/μg. Whether for animal immunization, functional assays, or preclinical studies, we deliver high-quality proteins expressed in optimized systems and rigorously purified to meet strict endotoxin specifications—ensuring both biological activity and compatibility with sensitive applications.
To request custom ultra-low endotoxin proteins, please contact your sales representative or reach out to us at sales@kactusbio.us.
Importance of endotoxin control in antibody drug discovery
Endotoxins are lipopolysaccharides (LPS) found in the cell walls of Gram-negative bacteria. They are a type of pathogen-associated molecular pattern (PAMP) that can activate inflammatory responses via TLR4. During recombinant protein production, endotoxins are typically introduced when using prokaryotic expression systems such as E. coli, or from prokaryotic-derived plasmids.
High endotoxin levels in recombinant proteins can compromise multiple stages of the antibody discovery process, including:
- Animal immunization - can induce inflammatory responses, dysregulate the immune system, and result in low antibody titers or increased production of non-specific antibodies.
- In vitro screening - can interfere with antigen-antibody interactions, leading to high background noise / reduced accuracy in assays such as ELISA or flow cytometry
Endotoxins are heat-stable and resistant to conventional removal methods such as heat treatment, making them particularly challenging to eliminate. Effective control of endotoxin requires interventions at every step, from expression system design to downstream purification.
At KACTUS, we are committed to elevating protein quality by optimizing expression conditions and refining purification workflows. This allows us to consistently achieve ultra-low endotoxin levels to better fulfill the stringent needs of animal immunization and preclinical drug development.
Learn more about endotoxins in our blog →
Mechanism of LPS triggering Inflammatory Responses via TLR4









