Background
Cluster of Differentiation 3 (CD3) is a multimeric protein complex and T cell co-receptor that plays an essential role in adaptive immune responses. This complex is composed of four distinct polypeptide chains: epsilon (ε), gamma (γ), delta (δ), and zeta (ζ), which assemble as three pairs of dimers (εγ, εδ, ζζ). These CD3 molecules bind non-covalently to the T-cell receptor (TCR) to form the TCR/CD3 receptor complex on the surface of T cells.
CD3 proteins interactions with T cells
The CD3 proteins have a transmembrane domain, a cytoplasmic tail, and an N-terminal extracellular region containing immunoglobulin-like domains, classifying them as part of the immunoglobulin superfamily. The intracellular immunoreceptor tyrosine-based activation motifs (ITAMs) located in the cytoplasmic tails are essential for signal transduction upon T cell receptor engagement.
The CD3 complex is a defining feature of the T cell lineage and is involved in activating both cytotoxic T cells (CD8+ naive T cells) and T helper cells (CD4+ naive T cells). Antibodies against CD3 molecules can either stimulate or block T cell activation signal transduction, offering a potential avenue for developing treatments for organ transplant rejection and autoimmune diseases.

TCR/CD3 signaling pathways. Source: Louis-Dit-Sully C et. al, 2012
Level Up Your Immunization Campaigns
Traditional antibody discovery using purified recombinant CD3 proteins often fails because it exposes "hidden" epitopes normally tucked inside the T cell membrane. This leads to antibodies that bind strongly in a lab dish but fail to recognize the native TCR/CD3 complex in vivo.
KACTUS VLPs solve this by displaying the full complex at high density on a mammalian-derived membrane surface. By mimicking viral architecture, our VLPs act as a powerful "plug-and-play" immunogen that forces the immune system to recognize only natively exposed epitopes.
- Maximized B-Cell Response: The repetitive, high-density display of the TCR-CD3 complex triggers a robust immune response that smaller, soluble formats cannot match.
- True Native Orientation: Because only the Extracellular Domain (ECD) is accessible on the VLP surface, you eliminate off-target responses to intracellular regions from the very start of the campaign.

Product Validation Data

Immobilized Human NY-ESO-1 TCR&CD3 Complex VLP at 5 ug/mL (100ul/well) on the plate. X-axis is a dose response curve for log OKT3, mFc Tag Conc. (ug/ml) with an EC50 of 3.6ng/ml determined by ELISA.

Immobilized Human NY-ESO-1 TCR&CD3 Complex VLP at 5 ug/mL (100ul/well) on the plate. X-axis is a dose response curve for log Human HLA-A*02:01&B2M&NY-ESO-1 (SLLMWITQC) Monomer, His Tag (Cat. MHC-HM405) Conc. (ug/ml) with an EC50 of 7.5ng/ml determined by ELISA.

The purity of Human NY-ESO-1 TCR&CD3 Complex VLP is greater than 95% as determined by SEC-HPLC.
Improved Accuracy in your Antibody Screening
Once a high-titer immune response is achieved via VLP immunization, the challenge shifts to high-resolution screening. KACTUS Nanodiscs provide the refined, detergent-free environment necessary for the downstream selection of top-tier leads.
By capturing the full TCR-CD3 complex within a discrete lipid bilayer, our nanodiscs offer a stable, soluble format optimized for:
- High-Throughput Assays: Perfectly suited for ELISA, SPR, and BLI, offering low background noise and improved purity relative to VLPs.
- Native Lead Validation: Ensures the antibodies selected during downselection maintain high affinity for the TCR/CD3 complex exactly as it appears on a live T cell.

Biotinylated Human NY-ESO-1 TCR&CD3 Complex Nanodisc
NY-ESO-1 is a highly immunogenic cancer-testis antigen whose expression is restricted to tumor cells and germ cells, making it an exceptionally promising target for cancer immunotherapies due to the low risk of off-target toxicity in normal tissues. Our Nanodisc complex features the 1G4c113 TCR, an engineered, affinity-matured T-cell receptor variant that specifically recognizes the NY-ESO-1 peptide fragment (SLLMWITQC) presented on HLA-A*02:01.
Immobilized Biotinylated Human NY-ESO-1 TCR&CD3 Complex Nanodisc, His Tag at 2ug/ml (100ul/well) on the streptavidin precoated plate (5ug/ml). Dose response curve for OKT3, mFc Tag with the EC50 of 18.3ng/ml determined by ELISA.

Immobilized Human HLA-A*02:01&B2M&NY-ESO-1 (SLLMWITQC) Monomer, His Tag at 2ug/ml (100ul/well) on the plate. Dose response curve for Biotinylated Human NY-ESO-1 TCR&CD3 Complex Nanodisc, His Tag with the EC50 of 0.1ug/ml determined by ELISA.
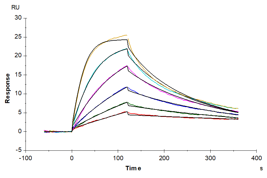
Biotinylated Human NY-ESO-1 TCR&CD3 Complex Nanodisc, His Tag captured on CM5 Chip via Streptavidin can bind OKT3, mFc Tag with an affinity constant of 0.20 nM as determined in SPR assay (Biacore T200).

Biotinylated Human NY-ESO-1 TCR&CD3 Complex Nanodisc, His Tag on Streptavidin-Biosensor can bind OKT3, mFc Tag with an affinity constant of 0.89 nM as determined in BLI assay (Gator® Prime).
Biotinylated Human KRAS G12D TCR&CD3 Complex Nanodisc
KRAS G12D is one of the most common and challenging oncogenic driver mutations in many cancers, which locks the protein in an "on" state that drives uncontrolled cell growth. KRAS mutations create unique neoantigens presented to the immune system, making them a high-priority target for TCR-based oncology drug development. This complex is built with the engineered JD1a41b1 TCR, a high-affinity receptor that selectively recognizes the KRAS G12D peptide fragment (VVVGADGVGK) presented on HLA-A*11:01.
Immobilized Biotinylated Human KRAS G12D TCR&CD3 Complex Nanodisc, His Tag at 2ug/ml (100ul/well) on the streptavidin precoated plate (5ug/ml). Dose response curve for OKT3, mFc Tag with the EC50 of 17.5ng/ml determined by ELISA.

Immobilized Human HLA-A*11:01&B2M&KRAS G12D (VVVGADGVGK) Monomer, His Tag at 2ug/ml (100ul/well) on the plate. Dose response curve for Biotinylated Human KRAS G12D TCR&CD3 Complex Nanodisc, His Tag with the EC50 of 0.53ug/ml determined by ELISA.
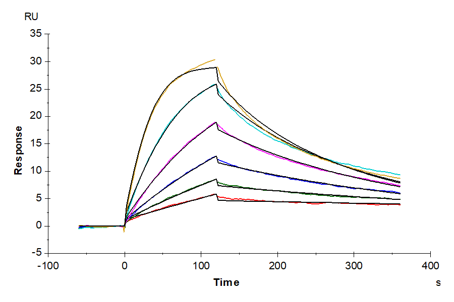
Biotinylated Human KRAS G12D TCR&CD3 Complex Nanodisc, His Tag captured on CM5 Chip via Streptavidin can bind OKT3, mFc Tag with an affinity constant of 0.21 nM as determined in SPR assay (Biacore T200).

Loaded Biotinylated Human KRAS G12D TCR&CD3 Complex Nanodisc, His Tag on Streptavidin-Biosensor can bind OKT3, mFc Tag with an affinity constant of 0.90 nM as determined in BLI assay (Gator® Prime).
Through our unique SAMS™ protein engineering and expression platform, KACTUS provides a variety of highly active CD3 proteins, including monomers, dimers, and other forms, to meet the diverse needs of researchers in immunology, antibody preparation, and screening.
Product Applications:
Antibody discovery:
Immunization
Antibody screening
Functional characterization
Affinity determination:
ELISA / SPR / BLI
Product Features:
→ High protein binding affinity
→ Equal expression of subunits in dimers
→ Batch-to-batch stability studies
→ Temperature stability studies
→ Mammalian Expression
→ Various tags, species, & molecules
→ Customizable
Product Validation Data
High Protein Binding Affinity
We verified the activity of our heterodimers, such as CD3E/G-His Tag and CD3E/D-His Tag, via ELISA and SPR.
Equal Expression of Subunits
A proprietary design, expression, and purification system ensures the two subunits of the heterodimers are expressed in equal proportions with greater than 95% purity, verfied by SDS-PAGE and SEC-HPLC.
Batch Stability
Our CD3 proteins have high batch-to-batch consistency and long-term stability as verified by ELISA.
Temperature Stability
Immobilized Human CD3E/CD3G, hFc Tag, at 1ug/mL (100ul/well). Dose-response curve for anti-CD3E/CD3G antibody (OKT3, mFc Tag). The EC50s are 20.7, 19.5, 20.0 and 20.7ng/ml respectively, as determined by ELISA.
Available Products
Custom CD3 Protein
CD3 Proteins FAQs
CD3 proteins are critical components of the T cell receptor (TCR) complex, playing a central role in T cell activation and signal transduction. These multimeric proteins are essential for studying immune responses, developing therapeutic antibodies, and supporting CAR-T or bispecific T-cell engager (BiTE) therapy.
KACTUS offers a broad range of CD3 proteins including monomers, homodimers (ζζ), and heterodimers (e.g., CD3E/D, CD3E/G) across human, mouse, and cynomolgus monkey species. These proteins are expressed in mammalian cells to ensure native folding and bioactivity.
Yes, our proprietary SAMS™ platform ensures balanced expression of CD3 subunits in heterodimeric forms. This is validated through SDS-PAGE and SEC-HPLC with >95% purity, ensuring consistent and reliable protein functionality.
CD3 proteins are available with a variety of tags, including His, hFc, and Flag, and may include biotinylation or fluorescent tags upon request. This allows compatibility with multiple detection platforms such as ELISA, SPR, and flow cytometry.
We perform ELISA and SPR-based binding assays to confirm bioactivity. For example, dose-response curves are generated using known antibodies like OKT3 to validate both monomeric and heterodimeric CD3 constructs.
Yes, our CD3 proteins undergo batch-to-batch consistency testing and thermal stability studies, ensuring reproducibility in long-term applications and varying assay conditions.
Absolutely. These proteins are commonly used in T cell activation assays, antibody functional screening, and biophysical affinity measurements that support preclinical therapeutic development.
Your selection should depend on the targeted interaction or downstream application. CD3E/D and CD3E/G differ in subunit composition, which may influence their binding affinity to specific TCRs or antibody fragments. Our team can help guide you based on your assay design.
Yes, we provide cross-species CD3 proteins that are ideal for animal model validation or preclinical immunogenicity studies. They are validated for use in similar workflows as the human versions.
Yes, KACTUS supports custom CD3 expression services. You can request tailored constructs with your preferred sequence, tag configuration, expression system, and validation method to support your specific research workflow.





