- Express System: HEK293
- Product Tag: C-His-Avi
- Purity: > 95% as determined by Bis-Tris PAGE;> 95% as determined by HPLC
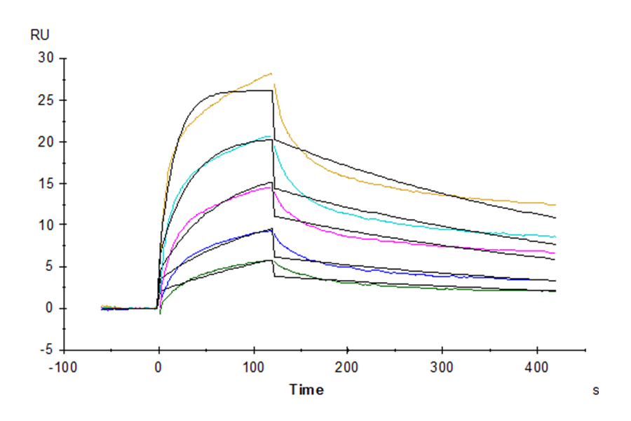
- Activity: Immobilized Rhesus macaque HLA-G&B2M&Peptide (RIIPRHLQL) Tetramer, His Tag at 5ug/ml (100ul/well) on the plate. Dose response curve for Rhesus macaque LILRB1, hFc Tag with the EC50 of 91.9ng/ml determined by ELISA (QC Test). The affinity constant of 1.74 nM as determined in SPR assay (Biacore T200).
- Amino Acid Range: Gly25-Thr305(HLA-G), Ile21-Met119(B2M) and RIIPRHLQL peptide
Rhesus macaque HLA-G&B2M&Peptide (RIIPRHLQL) Tetramer Protein (HLG-RM41CT) Summary
Product Description |
Recombinant Rhesus macaque HLA-G&B2M&Peptide (RIIPRHLQL) Tetramer Protein is expressed from HEK293 with His tag and Avi tag at the C-Terminus,tetramer is assembled by biotinylated monomer and streptavidin.It contains Gly25-Thr305(HLA-G), Ile21-Met119(B2M) and RIIPRHLQL peptide. |
Product Background |
HLA-G is a molecule that was first known to confer protection to the fetus from destruction by the immune system of its mother, thus critically contributing to fetal-maternal tolerance. The first functional finding constituted the basis for HLA-G research and can be summarized as such: HLA-G, membrane-bound or soluble, strongly binds its inhibitory receptors on immune cells (NK, T, B, monocytes/dendritic cells), inhibits the functions of these effectors, and so induces immune inhibition. |
Product Category |
Recombinant Protein / Antibody discovery / MHC / Peptide-MHCs |
HLA-G&B2M&Peptide (RIIPRHLQL) Specifications
Protein |
HLA-G&B2M&Peptide (RIIPRHLQL) |
Synonyms |
HLA G antigen; sHLA-G; b2 microglobulin; HLA G; HLAG; HLA-G; MHC Class I Antigen G; MHC class Ib antigen; MHC-G; sHLA-G |
MHC Form |
Tetramer |
Allele |
HLA-G |
Accession |
O02948(HLA-G)&Q6V7J5(B2M)&RIIPRHLQL |
Species |
Rhesus macaque |
Biotinylated |
no |
Amino Acid Range |
Gly25-Thr305(HLA-G), Ile21-Met119(B2M) and RIIPRHLQL peptide |
Molecular Weight |
The protein has a predicted MW of 258 kDa. Due to glycosylation, the protein migrates to 260-265 kDa under Non reduced (N) condition based on Bis-Tris PAGE result. |
Activity |
Immobilized Rhesus macaque HLA-G&B2M&Peptide (RIIPRHLQL) Tetramer, His Tag at 5ug/ml (100ul/well) on the plate. Dose response curve for Rhesus macaque LILRB1, hFc Tag with the EC50 of 91.9ng/ml determined by ELISA (QC Test). The affinity constant of 1.74 nM as determined in SPR assay (Biacore T200). |
Product Tag |
C-His-Avi |
Expression System |
HEK293 |
Purity |
> 95% as determined by Bis-Tris PAGE;> 95% as determined by HPLC |
Endotoxin |
Less than 1 EU per ug by the LAL method. |
Shipping, Reconstitution, & Storage
Form |
Lyophilized |
Shipping |
Shipped at ambient temperature. |
Formulation |
Lyophilized from 0.22um filtered solution in PBS (pH 7.4). Normally 8% trehalose is added as protectant before lyophilization. |
Reconstitution |
Dissolve the lyophilized protein in distilled water. It is recommended to resuspend at 0.5 mg/mL if the lyophilized powder is 100 ug or less, at 1mg/ml for 500ug or 1mg lyophilized powder. Do not mix by vortex or vigorous shaking. |
Stability And Storage |
-20 to -80°C for 12 months as supplied from date of receipt.;-80°C for 3 months after reconstitution.;Recommend to aliquot the protein into smaller quantities for optimal storage. Please minimize freeze-thaw cycles. |
Validation Images
Additional Information
Related Products
Have more questions?
Check out our Frequently Asked Questions page for more details about product specifications, ordering, and shipments.
Contact Us
More from Antibody Drug Discovery Proteins
Recently viewed
