- Express System: HEK293
- Product Tag: C-His
- Purity: > 95% as determined by Bis-Tris PAGE;> 90% as determined by HPLC
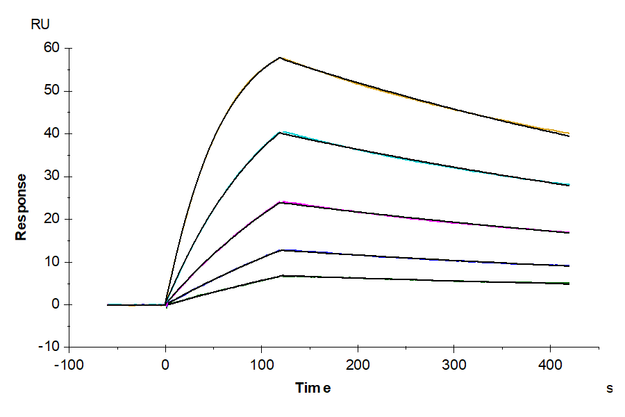
- Activity: The affinity constant of 1.67 nM as determined in SPR assay (Biacore T200).
- Amino Acid Range: Thr28-Pro207
Biotinylated Cynomolgus IL-18BP Protein (Primary Amine Labeling) (IL8-CM1BPB) Summary
Product Description |
Recombinant Biotinylated Cynomolgus IL-18BP Protein (Primary Amine Labeling) is expressed from HEK293 with His tag at the C-Terminus.It contains Thr28-Pro207. |
Product Background |
Cytokines were the first modern immunotherapies to produce durable responses in patients with advanced cancer,components of the interleukin-18 (IL-18) pathway are upregulated on tumour-infiltrating lymphocytes, suggesting that IL-18 therapy could enhance anti-tumour immunity. IL-18BP, a high-affinity IL-18 decoy receptor, is frequently upregulated in diverse human and mouse tumours and limits the anti-tumour activity of IL-18 in mice. |
Product Category |
Recombinant Protein / Antibody discovery / Antibody discovery | Others |
Biotinylated Cynomolgus IL-18BP Protein (Primary Amine Labeling) (IL8-CM1BPB) Specifications/Details
Protein |
IL-18BP |
Synonyms |
IL-18BP; Igifbp; Interleukin-18-binding protein |
Accession |
|
Species |
Cynomolgus |
Biotinylated |
yes |
Amino Acid Range |
Thr28-Pro207 |
Molecular Weight |
The protein has a predicted MW of 21.14 kDa. Due to glycosylation, the protein migrates to 50-65 kDa based on Bis-Tris PAGE result. |
Activity |
The affinity constant of 1.67 nM as determined in SPR assay (Biacore T200). |
Product Tag |
C-His |
Expression System |
HEK293 |
Purity |
> 95% as determined by Bis-Tris PAGE;> 90% as determined by HPLC |
Endotoxin |
Less than 1 EU per ug by the LAL method. |
Shipping, Reconstitution, & Storage
Form |
Liquid |
Shipping |
Shipped with dry ice. |
Formulation |
Supplied as 0.22um filtered solution in PBS (pH 7.4). |
Stability And Storage |
Valid for 12 months from date of receipt when stored at -80°C.;Recommend to aliquot the protein into smaller quantities for optimal storage. Please minimize freeze-thaw cycles. |
Validation Images
Related Products
Have more questions?
Check out our Frequently Asked Questions page for more details about product specifications, ordering, and shipments.
Contact Us
More from Antibody Drug Discovery Proteins
Recently viewed
