- Express System: HEK293
- Product Tag: C-His
- Purity: > 95% as determined by Bis-Tris PAGE;> 95% as determined by HPLC
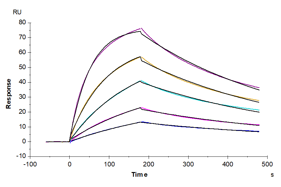
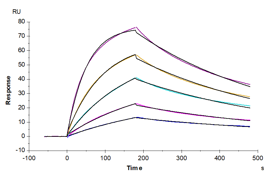
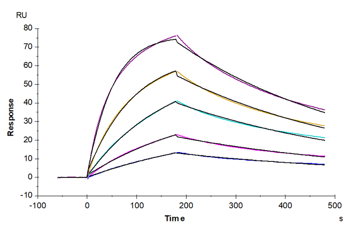
- Activity: The affinity constant of 0.13 uM as determined in SPR assay (Biacore T200).
- Amino Acid Range: Arg31-Gln163
Cynomolgus IL-17F Protein (ILF-CM117) Summary
Product Description |
Recombinant Cynomolgus IL-17F Protein is expressed from HEK293 with His tag at the C-Terminus.It contains Arg31-Gln163. |
Product Background |
The Interleukin 17 (IL-17) family proteins, comprising six members (IL-17A through IL-17F), are secreted, structurally related proteins that share a conserved cystine-knot fold near the C-terminus, but have considerable sequence divergence at the N‑terminus.IL-17F is ligand for IL17RA and IL17RC. The heterodimer formed by IL17A and IL17F is a ligand for the heterodimeric complex formed by IL17RA and IL17RC. Involved in stimulating the production of other cytokines such as IL6, IL8 and CSF2, and in regulation of cartilage matrix turnover. |
Product Category |
Recombinant Protein / Antibody discovery / Antibody discovery | Others |
Cynomolgus IL-17F Protein (ILF-CM117) Specifications/Details
Protein |
IL-17F |
Synonyms |
Cytokine ML-1; IL17F; IL-17F; CANDF6; IL-17F; ML1 |
Accession |
|
Species |
Cynomolgus |
Biotinylated |
no |
Amino Acid Range |
Arg31-Gln163 |
Molecular Weight |
The protein has a predicted MW of 16.1 kDa. Due to glycosylation, the protein migrates to 23-28 kDa based on Bis-Tris PAGE result. |
Activity |
The affinity constant of 0.13 uM as determined in SPR assay (Biacore T200). |
Product Tag |
C-His |
Expression System |
HEK293 |
Purity |
> 95% as determined by Bis-Tris PAGE;> 95% as determined by HPLC |
Endotoxin |
Less than 1 EU per ug by the LAL method. |
Shipping, Reconstitution, & Storage
Form |
Lyophilized |
Shipping |
Shipped at ambient temperature. |
Formulation |
Lyophilized from 0.22um filtered solution in PBS (pH 7.4). Normally 8% trehalose is added as protectant before lyophilization. |
Reconstitution |
Dissolve the lyophilized protein in distilled water. It is recommended to resuspend at 0.5 mg/mL if the lyophilized powder is 100 ug or less, at 1mg/ml for 500ug or 1mg lyophilized powder. Do not mix by vortex or vigorous shaking. |
Stability And Storage |
-20 to -80°C for 12 months as supplied from date of receipt.;-80°C for 3 months after reconstitution.;Recommend to aliquot the protein into smaller quantities for optimal storage. Please minimize freeze-thaw cycles. |
Validation Images
Related Products
Have more questions?
Check out our Frequently Asked Questions page for more details about product specifications, ordering, and shipments.
Contact Us
More from Antibody Drug Discovery Proteins
Recently viewed
