Mouse IFN alpha 1 Protein (IFN-MM2A1)
Mouse IFN alpha 1 Protein (IFN-MM2A1)
  • Express System: HEK293
  • Product Tag: C-hFc (IgG1)
  • Purity: > 95% as determined by Bis-Tris PAGE
  • Activity: The affinity constant of 11.96 nM as determined in SPR assay (Biacore T200).
  • Amino Acid Range: Cys24-Lys189
  • Other Available Proteins:
    Loading...
Catalog #IFN-MM2A1
Regular price $346.50
/
Size
image

Order by 4pm ET for delivery on:

Mouse IFN alpha 1 Protein (IFN-MM2A1) Summary

Product Description

Recombinant Mouse IFN alpha 1 Protein is expressed from HEK293 with hFc (IgG1) tag at the C-Terminus.It contains Cys24-Lys189.

Product Background

IFN-α, a cytokine expressed in human islets from individuals affected by type 1 diabetes, plays a key role in the pathogenesis of diabetes by upregulating inflammation, endoplasmic reticulum (ER) stress and MHC class I overexpression, three hallmarks of islet histology in early type 1 diabetes.

Product Category

Recombinant Protein / Antibody discovery / Antibody discovery/Others

Mouse IFN alpha 1 Protein (IFN-MM2A1) Specifications/Details

Protein
IFN alpha 1
Synonyms
Interferon alpha-1/13;IFN-alpha-1/13;Interferon alpha-D;LeIF D; IFNalpha 1; IFN alpha1;IFNA1;IFN-alpha-1;Interferon alpha 1
Accession
Species
Mouse
Biotinylated
no
Amino Acid Range
Cys24-Lys189
Molecular Weight
The protein has a predicted MW of 45.88 kDa. Due to glycosylation, the protein migrates to 50-60 kDa based on Bis-Tris PAGE result.
Activity
The affinity constant of 11.96 nM as determined in SPR assay (Biacore T200).
Product Tag
C-hFc (IgG1)

Fluorophore

Unconjugated
Expression System
HEK293
Purity
> 95% as determined by Bis-Tris PAGE
Endotoxin
Less than 1 EU per ug by the LAL method.

Shipping, Reconstitution, & Storage

Form
Lyophilized
Shipping
Shipped at ambient temperature.
Formulation
Lyophilized from 0.22um filtered solution in PBS (pH 7.4). Normally 8% trehalose is added as protectant before lyophilization.
Reconstitution
Dissolve the lyophilized protein in distilled water. It is recommended to resuspend at 0.5 mg/mL if the lyophilized powder is 100 ug or less, at 1mg/ml for 500ug or 1mg lyophilized powder. Do not mix by vortex or vigorous shaking.
Stability And Storage
-20 to -80°C for 12 months as supplied from date of receipt.;-80°C for 3 months after reconstitution.;Recommend to aliquot the protein into smaller quantities for optimal storage. Please minimize freeze-thaw cycles.

Validation Images

Human IFN alpha/beta R1, His Tag (Cat. IFN-HM4R1) captured on CM5 Chip via anti-his antibody can bind Mouse IFN alpha 1, hFc Tag with an affinity constant of 11.96 nM as determined in SPR assay (Biacore T200). Human IFN alpha/beta R1, His Tag (Cat. IFN-HM4R1) captured on CM5 Chip via anti-his antibody can bind Mouse IFN alpha 1, hFc Tag with an affinity constant of 11.96 nM as determined in SPR assay (Biacore T200).
Mouse IFN alpha 1 on Bis-Tris PAGE under reduced condition. The purity is greater than 95%. Mouse IFN alpha 1 on Bis-Tris PAGE under reduced condition. The purity is greater than 95%.
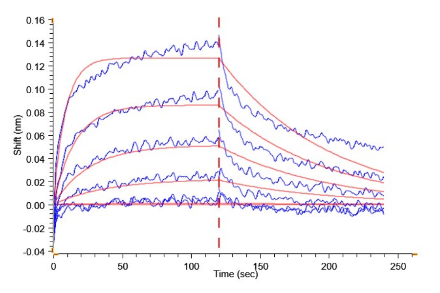
Loaded Biotinylated Mouse IFN alpha/beta R2, His-Avi Tag (Cat. IFN-MM1R2B) on Anti-His-Biosensor can bind Mouse IFN alpha 1, hFc Tag with an affinity constant of 5.44 nM as determined in BLI assay . Loaded Biotinylated Mouse IFN alpha/beta R2, His-Avi Tag (Cat. IFN-MM1R2B) on Anti-His-Biosensor can bind Mouse IFN alpha 1, hFc Tag with an affinity constant of 5.44 nM as determined in BLI assay .
Loaded Biotinylated Mouse IFN alpha/beta R1, His Tag on Streptavidin-Biosensor can bind Mouse IFN alpha 1, hFc Tag with an affinity constant of 1.00 µM as determined in BLI assay . Loaded Biotinylated Mouse IFN alpha/beta R1, His Tag on Streptavidin-Biosensor can bind Mouse IFN alpha 1, hFc Tag with an affinity constant of 1.00 µM as determined in BLI assay .
Loaded Human IFN alpha/beta R1, His Tag (Cat. IFN-HM4R1) on Anti-His-Biosensor can bind Mouse IFN alpha 1, hFc Tag with an affinity constant of 0.25 µM as determined in BLI assay . Loaded Human IFN alpha/beta R1, His Tag (Cat. IFN-HM4R1) on Anti-His-Biosensor can bind Mouse IFN alpha 1, hFc Tag with an affinity constant of 0.25 µM as determined in BLI assay .
Have more questions?

Check out our Frequently Asked Questions page for more details about product specifications, ordering, and shipments.

Recommended Products

Loading...
Recently viewed