Mouse IFN alpha 1 Protein (IFN-MM2A1) Summary
Product Description |
Recombinant Mouse IFN alpha 1 Protein is expressed from HEK293 with hFc tag at the C-Terminus.It contains Cys24-Lys189. |
Product Background |
IFN-α, a cytokine expressed in human islets from individuals affected by type 1 diabetes, plays a key role in the pathogenesis of diabetes by upregulating inflammation, endoplasmic reticulum (ER) stress and MHC class I overexpression, three hallmarks of islet histology in early type 1 diabetes. |
Product Category |
Recombinant Protein / Antibody discovery / Antibody discovery | Others |
Mouse IFN alpha 1 Protein (IFN-MM2A1) Specifications/Details
Protein |
IFN alpha 1 |
Synonyms |
Interferon alpha-1/13;IFN-alpha-1/13;Interferon alpha-D;LeIF D; IFNalpha 1; IFN alpha1;IFNA1;IFN-alpha-1;Interferon alpha 1 |
Accession |
|
Species |
Mouse |
Biotinylated |
no |
Amino Acid Range |
Cys24-Lys189 |
Molecular Weight |
The protein has a predicted MW of 45.88 kDa. Due to glycosylation, the protein migrates to 50-60 kDa based on Bis-Tris PAGE result. |
Activity |
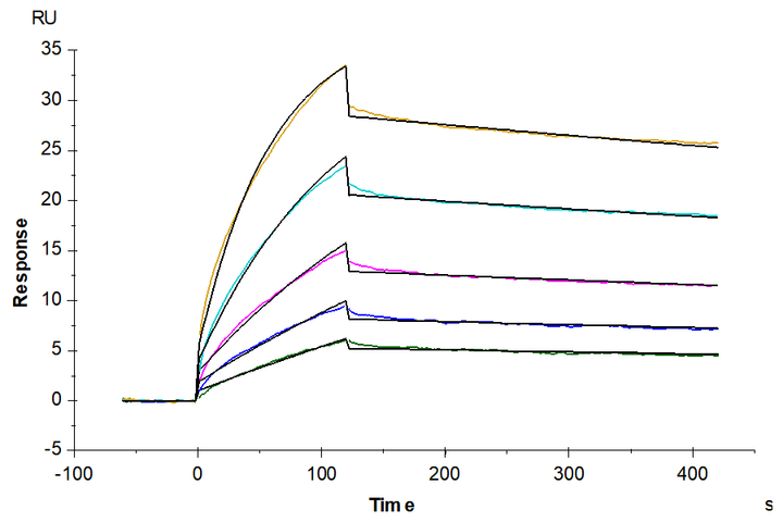
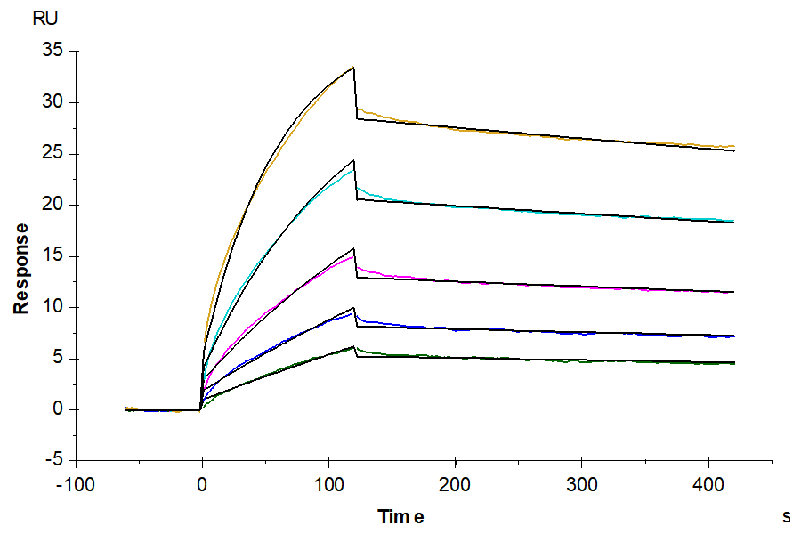
The affinity constant of 11.96 nM as determined in SPR assay (Biacore T200). |
Product Tag |
C-hFc |
Expression System |
HEK293 |
Purity |
> 95% as determined by Bis-Tris PAGE |
Endotoxin |
Less than 1 EU per ug by the LAL method. |
Shipping, Reconstitution, & Storage
Form |
Lyophilized |
Shipping |
Shipped at ambient temperature. |
Formulation |
Lyophilized from 0.22um filtered solution in PBS (pH 7.4). Normally 8% trehalose is added as protectant before lyophilization. |
Reconstitution |
Dissolve the lyophilized protein in distilled water. It is recommended to resuspend at 0.5 mg/mL if the lyophilized powder is 100 ug or less, at 1mg/ml for 500ug or 1mg lyophilized powder. Do not mix by vortex or vigorous shaking. |
Stability And Storage |
-20 to -80°C for 12 months as supplied from date of receipt.;-80°C for 3 months after reconstitution.;Recommend to aliquot the protein into smaller quantities for optimal storage. Please minimize freeze-thaw cycles. |
Validation Images
Related Products
Have more questions?
Check out our Frequently Asked Questions page for more details about product specifications, ordering, and shipments.
Contact Us
More from Antibody Drug Discovery Proteins
Recently viewed
