GPCR Protein Catalog
GPCR Proteins
View Products →
High-quality recombinant GPCR proteins expressed in mammalian systems, ensuring proper folding and bioactivity. Available as full-length proteins with validated purity and functional data.
Recombinant GPCR Proteins for Research & Drug Discovery
G protein-coupled receptors (GPCRs) are integral membrane proteins that contain seven transmembrane domains. They play a role in various physiological functions, ranging from immune response, neurological function, hormone regulation, smell, and taste. This makes them popular targets for therapeutic intervention. Approximately 34% of all FDA-approved drugs target GPCRs. Researchers need access to reliable recombinant GPCR proteins to perform accurate drug candidate screening, immunization, and binding studies.
However, because of the complex structure of GPCRs, they are difficult to express recombinantly in a bioactive and physiologically relevant form. To facilitate GPCR research, we have developed expertise in full-length multipass transmembrane protein expression. Our multipass transmembrane proteins have two display platforms, virus-like particles and copolymer nanodiscs. These display platforms express full-length multipass membrane proteins in a native bilipid layer with proper folding, post-translational modifications, and exposed extracellular domains. These products undergo purity and bioactivity testing and have batch consistency for reproducible results.
Browse GPCR Proteins →
GPCR Protein Display Platforms
Virus-Like Particle (VLP)
Mammalian-expressed GPCRs displayed on enveloped virus-like particles (VLPs).
These are small nanoparticles composed of the shell or capsid proteins of a virus with an external bilipid membrane. VLPs are absent of the viral infectious genomes, making them non-infectious. They display multipass membrane proteins in their native conformation and offer boosted immunogenicity due to the dense display of the target protein.
Copolymer Nanodisc
Mammalian-expressed GPCRs displayed on membrane-like structures composed of phospholipids and copolymers.
These provide stabilized multipass transmembrane proteins with proper folding and activity. They are good for solubilizing proteins without the use of detergents. This makes them superior for membrane proteins that are sensitive maintaining activity with detergents.
Product Validation Data
To facilitate effective GPCR-related therapeutic research, KACTUS offers an off-the-shelf portfolio of recombinant GPCRs with high purity and validated bioactivity. These proteins are displayed on virus-like particles (VLPs) or copolymer nanodiscs to maintain natural protein folding and native conformation of these multi-pass transmembrane proteins. To learn more about our membrane protein display platforms, click here.
These proteins exhibit high binding activity and can be applied to various research stages, including immunization, screening, analytical method development and pharmacokinetic analysis.

Immobilized Biotinylated Human MRGX2, His Tag at 5ug/ml (100ul/well) on the streptavidin precoated plate (5ug/ml). Dose response curve for Anti-MRGX2 Antibody, mFc Tag with the EC50 of 6.2ng/ml determined by ELISA (QC Test).
Immobilized Human A2AR VLP at 5ug/ml (100ul/Well) on the plate. Dose response curve for Anti-A2AR Antibody, mFc Tag with the EC50 of 0.10ug/ml determined by ELISA.

Immobilized Biotinylated Human SSTR2 Nanodisc, His Tag at 2ug/ml(100ul/well) on the streptavidin precoated plate (5ug/ml). Dose response curve for Anti-SSTR2 Antibody, hFc Tag with the EC50 of 6.1ng/ml determined by ELISA (QC Test).
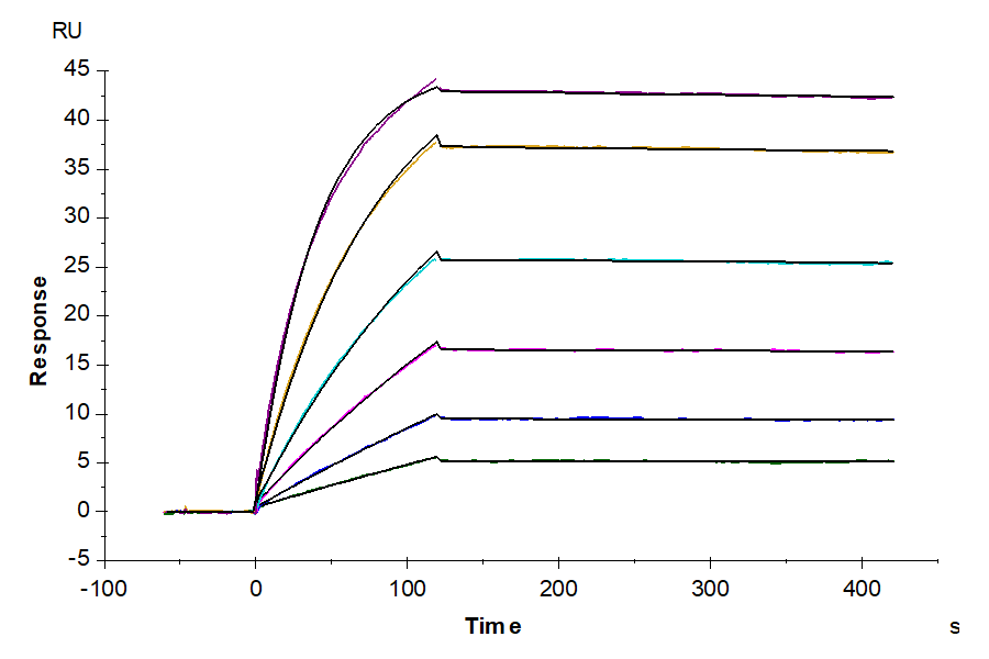
Biotinylated CCR2B VLP captured on CM5 Chip via streptavidin can bind Anti-CCR2 Antibody, hFc with an affinity constant of 2.19 nM as determined in SPR assay (Biacore T200) (QC Test).
About GPCRs
What are GPCRs?
G-protein coupled receptors, also known as GPCRs, are the largest and most diverse group of cell surface receptors in eukaryotic cells. As integral membrane proteins, they have 7 transmembrane helices, a feature necessary for their function.
GPCRs are involved in many physiological processes, from vision, taste, and smell to mood regulation and immune response. This also extends to smooth muscle contraction and systems throughout the body, including the cardiovascular and digestive tracts. Since they are central to cellular communication, GPCRs are a prime target for drug discovery.
Structure of GPCRs
GPCRs have 7 transmembrane helices connected by intracellular and extracellular loops. The N-terminus of the receptor is on the extracellular side of the membrane, and the C-terminus is on the intracellular side. The ligand binding site of the receptor is typically within the transmembrane helices.




