Human Wnt Surrogate-Fc Fusion Protein (WNT-HM23A) Summary
Product Description |
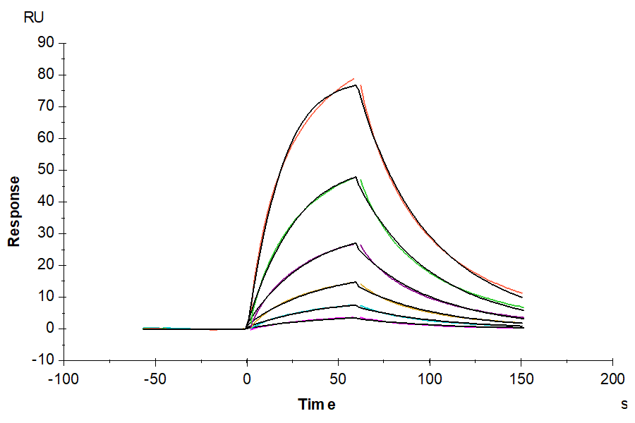
Recombinant Human Wnt Surrogate-Fc Fusion Protein is expressed from HEK293 with hFc tag at the C-Terminus. |
Product Background |
Wnt-3a is regarded as an activator of the canonical Wnt signaling pathway. This activator is expressed in the dorsal midline region and is responsible for spinal cord development. In addition, Wnt-3a plays a regulatory role in autophagy, apoptosis, and regeneration of neurons, neurogenic inflammation and axon regeneration.Wnt-3a promotes the beta-catenin/Tcf pathway which is tumor inducing and can cause cancer when expressed in particular cell populations. It is also one of the most commonly used cytokines for organoid construction. |
Product Category |
Recombinant Protein / Cell therapy / Cell culture / Cytokines |
Human Wnt Surrogate-Fc Fusion Protein (WNT-HM23A) Specifications/Details
Protein |
Wnt Surrogate |
Synonyms |
Wnt-3a; Wnt 3a; WNT3A protein; Wnt3a |
Species |
Human |
Biotinylated |
no |
Molecular Weight |
The protein has a predicted MW of 58.50 kDa. Due to glycosylation, the protein migrates to 60-75 kDa based on Bis-Tris PAGE result. |
Product Tag |
C-hFc |
Expression System |
HEK293 |
Purity |
> 95% as determined by Bis-Tris PAGE |
Endotoxin |
Less than 1 EU per ug by the LAL method. |
Shipping, Reconstitution, & Storage
Form |
Lyophilized |
Shipping |
Shipped at ambient temperature. |
Formulation |
Lyophilized from 0.22 um filtered solution in PBS (pH 7.4). Normally 8% trehalose is added as protectant before lyophilization. |
Reconstitution |
Dissolve the lyophilized protein in distilled water. It is recommended to resuspend at 0.5 mg/mL if the lyophilized powder is 100 ug or less, at 1mg/ml for 500ug or 1mg lyophilized powder. Do not mix by vortex or vigorous shaking. |
Stability And Storage |
-20 to -80°C for 12 months as supplied from date of receipt.;-80°C for 3 months after reconstitution.;Recommend to aliquot the protein into smaller quantities for optimal storage. Please minimize freeze-thaw cycles. |
Related Products
Have more questions?
Check out our Frequently Asked Questions page for more details about product specifications, ordering, and shipments.
Contact Us
More from Cell Therapy Proteins
Recently viewed
