- Express System: HEK293
- Product Tag: C-His
- Purity: > 95% as determined by Bis-Tris PAGE;> 95% as determined by HPLC
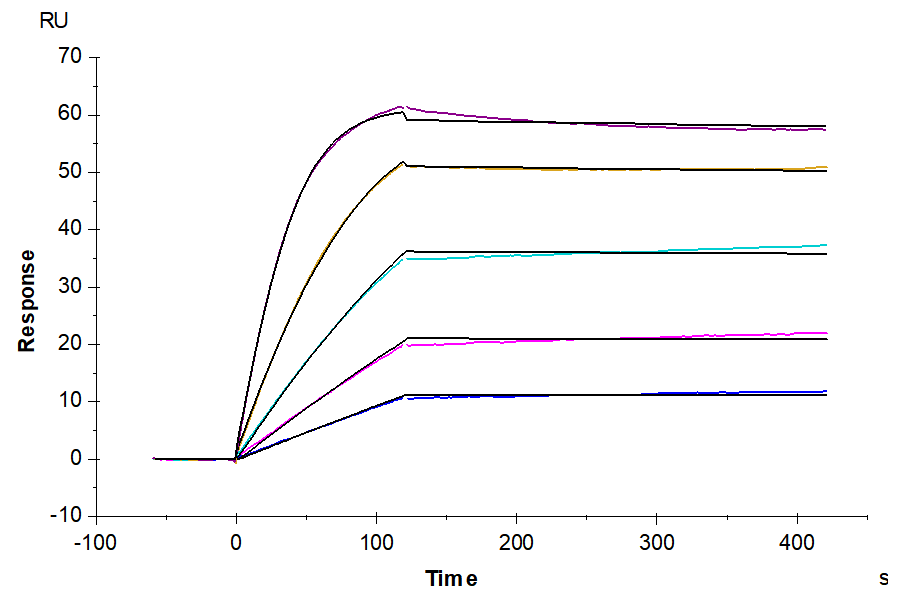
- Activity: Immobilized Human Activin A, No Tag at 1 ug/ml (100 ul/well) on the plate. Dose response curve for Human/Cynomolgus Activin RIIB, His Tag with the EC50 of 15.3 ng/ml determined by ELISA (QC Test). The affinity constant of 27.92 pM as determined in SPR assay (Biacore T200).
- Amino Acid Range: Ser19-Thr137 (Human) / Ser40-Thr158 (Cynomolgus)
Human/Cynomolgus Activin RIIB/ACVR2B Protein (ARB-HM12B) Summary
Product Description |
Recombinant Human/Cynomolgus Activin RIIB/ACVR2B Protein is expressed from HEK293 with His tag at the C-terminus.It contains Ser19-Thr137 (Human) / Ser40-Thr158 (Cynomolgus). |
Product Background |
ActRIIB (activin receptor type-2B) is an activin receptor subtype constitutively expressed in the whole body, playing a role in cellular proliferation, differentiation, and metabolism. For its various physiological activities, ActRIIB interacts with activin and multiple other ligands including myostatin (MSTN), growth differentiation factor 11 (GDF11), and bone morphogenetic protein 9 (BMP9). |
Product Category |
Recombinant Protein / Antibody discovery / Antibody discovery | Others |
Human/Cynomolgus Activin RIIB/ACVR2B Protein (ARB-HM12B) Specifications/Details
Protein |
Activin RIIB/ACVR2B |
Synonyms |
Activin receptor type-2B; ACVR2B; Activin RIIB; ActRIIB |
Accession |
|
Species |
Human/Cynomolgus |
Biotinylated |
no |
Amino Acid Range |
Ser19-Thr137 (Human) / Ser40-Thr158 (Cynomolgus) |
Molecular Weight |
The protein has a predicted MW of 14.75 kDa. Due to glycosylation, the protein migrates to 25-45 kDa based on Bis-Tris PAGE result. |
Activity |
Immobilized Human Activin A, No Tag at 1 ug/ml (100 ul/well) on the plate. Dose response curve for Human/Cynomolgus Activin RIIB, His Tag with the EC50 of 15.3 ng/ml determined by ELISA (QC Test). The affinity constant of 27.92 pM as determined in SPR assay (Biacore T200). |
Product Tag |
C-His |
Expression System |
HEK293 |
Purity |
> 95% as determined by Bis-Tris PAGE;> 95% as determined by HPLC |
Endotoxin |
Less than 1 EU per ug by the LAL method. |
Shipping, Reconstitution, & Storage
Form |
Lyophilized |
Shipping |
Shipped at ambient temperature. |
Formulation |
Lyophilized from 0.22 um filtered solution in PBS (pH 7.4). Normally 8% trehalose is added as protectant before lyophilization. |
Reconstitution |
Dissolve the lyophilized protein in distilled water. It is recommended to resuspend at 0.5 mg/mL if the lyophilized powder is 100 ug or less, at 1mg/ml for 500ug or 1mg lyophilized powder. Do not mix by vortex or vigorous shaking. |
Stability And Storage |
-20 to -80°C for 12 months as supplied from date of receipt.;-80°C for 3 months after reconstitution.;Recommend to aliquot the protein into smaller quantities for optimal storage. Please minimize freeze-thaw cycles. |
Validation Images
Related Products
Have more questions?
Check out our Frequently Asked Questions page for more details about product specifications, ordering, and shipments.
Contact Us
More from Activin Pathway Proteins
Recently viewed
