- Express System: HEK293
- Product Tag: C-His
- Purity: > 95% as determined by Bis-Tris PAGE;> 95% as determined by HPLC
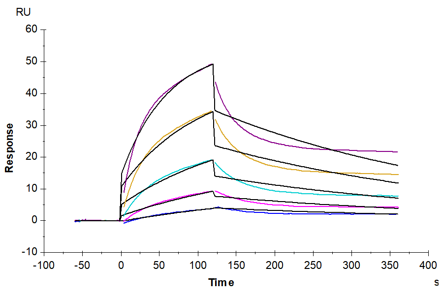
- Activity: The affinity constant of 82.54 nM as determined in SPR assay (Biacore T200). See testing image for detail.Measured by its ability to cleave a fluorogenic substrate, 4-Methylumbelliferyl phosphate (4-MUP). The specific activity is > 7000 pmol/min/µg.
- Amino Acid Range: Ile21-Thr503
Biotinylated Cynomolgus Alkaline Phosphatase (Placental type) /ALPP Protein (Primary Amine Labeling) (APE-CM102B) Summary
Product Description |
Recombinant Biotinylated Cynomolgus Alkaline Phosphatase (Placental type) /ALPP Protein (Primary Amine Labeling) is expressed from HEK293 with His tag at the C-terminus.It contains Ile21-Thr503. |
Product Background |
Alkaline phosphatase can be considered "our favorite enzyme" for reasons apparent to those who diagnose and treat metabolic bone diseases or who study skeletal biology. Few might know, however, that alkaline phosphatase likely represents the most frequently assayed enzyme in all of medicine. Elevated activity in the circulation is universally recognized as a marker for skeletal or hepatobiliary disease. |
Product Category |
Recombinant Protein / Antibody discovery / Antibody discovery | Others |
Biotinylated Cynomolgus Alkaline Phosphatase (Placental type) /ALPP Protein (Primary Amine Labeling) (APE-CM102B) Specifications/Details
Protein |
Alkaline Phosphatase (Placental type)/ALPP |
Synonyms |
Alkaline phosphatase; PLAP-1; ALPP; PLAP |
Accession |
|
Species |
Cynomolgus |
Biotinylated |
yes |
Amino Acid Range |
Ile21-Thr503 |
Molecular Weight |
The protein has a predicted MW of 53.69 kDa. Due to glycosylation, the protein migrates to 57-70 kDa based on Bis-Tris PAGE result. |
Activity |
The affinity constant of 82.54 nM as determined in SPR assay (Biacore T200). See testing image for detail.Measured by its ability to cleave a fluorogenic substrate, 4-Methylumbelliferyl phosphate (4-MUP). The specific activity is > 7000 pmol/min/µg. |
Product Tag |
C-His |
Expression System |
HEK293 |
Purity |
> 95% as determined by Bis-Tris PAGE;> 95% as determined by HPLC |
Endotoxin |
Less than 1 EU per ug by the LAL method. |
Shipping, Reconstitution, & Storage
Form |
Lyophilized |
Shipping |
Shipped at ambient temperature. |
Formulation |
Lyophilized from 0.22 um filtered solution in 25mM Tris, 100mM NaCl, 1mM MgCl2 (pH 7.5). Normally 8% trehalose is added as protectant before lyophilization. |
Reconstitution |
Dissolve the lyophilized protein in distilled water. It is recommended to resuspend at 0.5 mg/mL if the lyophilized powder is 100 ug or less, at 1mg/ml for 500ug or 1mg lyophilized powder. Do not mix by vortex or vigorous shaking. |
Stability And Storage |
-20 to -80°C for 12 months as supplied from date of receipt.;-80°C for 3 months after reconstitution.;Recommend to aliquot the protein into smaller quantities for optimal storage. Please minimize freeze-thaw cycles. |
Validation Images
Related Products
Have more questions?
Check out our Frequently Asked Questions page for more details about product specifications, ordering, and shipments.
Contact Us
More from Antibody Drug Discovery Proteins
Recently viewed
