- Express System: E.coli
- Product Tag: No Tag
- Purity: > 95% as determined by Bis-Tris PAGE;> 95% as determined by HPLC
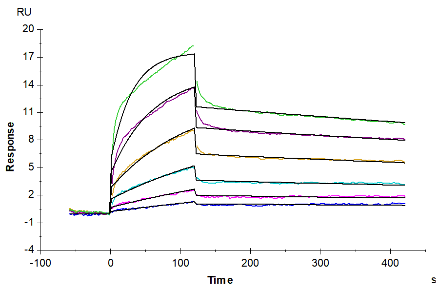
- Activity: Immobilized Human EGF, No Tag at 5ug/ml (100ul/well) on the plate. Dose response curve for Human EGFR, hFc Tag with the EC50 of 1.56ug/ml determined by ELISA (QC Test). The affinity constant of 1.33 nM as determined in SPR assay (Biacore T200).
- Amino Acid Range: Asn971-Arg1023
Human EGF Protein (EGF-HE001) Summary
Product Description |
Recombinant Human EGF Protein is expressed from E.coli without tag.It contains Asn971-Arg1023. |
Product Background |
The epidermal growth factor (EGF) family of peptides encodes several proteins that can function as growth factors. The EGF-like peptides, with the exception of proteins of the EGF-CFC subfamily, bind and activate tyrosine kinase receptors that belong to the erbB family. |
Product Category |
Recombinant Protein / Antibody discovery / Antibody discovery | Others |
Human EGF Protein (EGF-HE001) Specifications/Details
Protein |
EGF |
Synonyms |
HOMG4; EGF; URG |
Accession |
|
Species |
Human |
Biotinylated |
no |
Amino Acid Range |
Asn971-Arg1023 |
Molecular Weight |
The protein has a predicted MW of 5.6 kDa same as Bis-Tris PAGE result. |
Activity |
Immobilized Human EGF, No Tag at 5ug/ml (100ul/well) on the plate. Dose response curve for Human EGFR, hFc Tag with the EC50 of 1.56ug/ml determined by ELISA (QC Test). The affinity constant of 1.33 nM as determined in SPR assay (Biacore T200). |
Product Tag |
No Tag |
Expression System |
E.coli |
Purity |
> 95% as determined by Bis-Tris PAGE;> 95% as determined by HPLC |
Endotoxin |
Less than 0.2 EU per ug by the LAL method. |
Shipping, Reconstitution, & Storage
Form |
Lyophilized |
Shipping |
Shipped at ambient temperature. |
Formulation |
Lyophilized from 0.22um filtered solution in PBS (pH 7.4). Normally 8% trehalose is added as protectant before lyophilization. |
Reconstitution |
Dissolve the lyophilized protein in distilled water. It is recommended to resuspend at 0.5 mg/mL if the lyophilized powder is 100 ug or less, at 1mg/ml for 500ug or 1mg lyophilized powder. Do not mix by vortex or vigorous shaking. |
Stability And Storage |
-20 to -80°C for 12 months as supplied from date of receipt.;-80°C for 3 months after reconstitution.;Recommend to aliquot the protein into smaller quantities for optimal storage. Please minimize freeze-thaw cycles. |
Validation Images
Related Products
Have more questions?
Check out our Frequently Asked Questions page for more details about product specifications, ordering, and shipments.
Contact Us
More from Antibody Drug Discovery Proteins
Recently viewed
