
- Express System: HEK293
- Product Tag: C-His-Avi
- Purity: > 95% as determined by Bis-Tris PAGE;> 95% as determined by HPLC
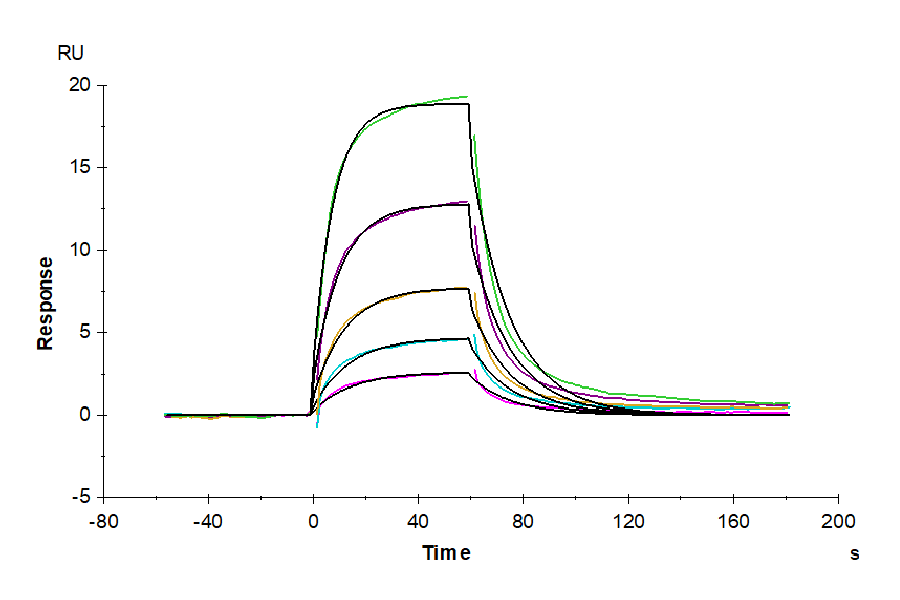
- Activity: The affinity constant of 1.67 uM as determined in SPR assay (Biacore T200). See testing image for detail.
- Amino Acid Range: Asp25-Leu609