
- Express System: HEK293
- Product Tag: C-His-Avi
- Purity: > 95% as determined by Bis-Tris PAGE;> 95% as determined by HPLC
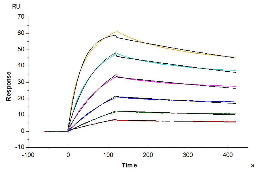
- Activity: The affinity constant of 1.16 nM as determined in SPR assay (Biacore T200).
- Amino Acid Range: Ala25-Lys437
Product Description |
Recombinant Biotinylated Cynomolgus IFN alpha/beta R1 Protein is expressed from HEK293 with His tag and Avi tag at the C-terminus.It contains Ala25-Lys437. |
Product Background |
IFN-alpha / beta R1, also known as IFNAR1, belongs to the class II cytokine receptor family of proteins. Class II cytokine receptors form heterodimeric receptor complexes that mediate class II cytokine signals. Subunits of the different receptor complexes are shared and serve multiple functions.Functions in general as heterodimer with IFNAR2. Type I interferon binding activates the JAK-STAT signaling cascade, and triggers tyrosine phosphorylation of a number of proteins including JAKs, TYK2, STAT proteins and the IFNR alpha- and beta-subunits themselves. |
Product Category |
Recombinant Protein / Antibody discovery / Antibody discovery | Others |
Protein |
IFN alpha/beta R1 |
Synonyms |
AVP; IFN-alpha/beta R1; IFN-alpha-REC; IFNAR; IFNAR1; IFN-aR1; IFNBR; IFNbR1; IFN-R-1; CRF2-1; IFRC ; IFN-alpha/β R1 |
Accession |
|
Species |
Cynomolgus |
Biotinylated |
yes |
Amino Acid Range |
Ala25-Lys437 |
Molecular Weight |
The protein has a predicted MW of 50.35 kDa. Due to glycosylation, the protein migrates to 75-105 kDa based on Bis-Tris PAGE result. |
Activity |
The affinity constant of 1.16 nM as determined in SPR assay (Biacore T200). |
Product Tag |
C-His-Avi |
Expression System |
HEK293 |
Purity |
> 95% as determined by Bis-Tris PAGE;> 95% as determined by HPLC |
Endotoxin |
Less than 1 EU per ug by the LAL method. |
Form |
Lyophilized |
Shipping |
Shipped at ambient temperature. |
Formulation |
Lyophilized from 0.22 um filtered solution in PBS (pH 7.4). Normally 8% trehalose is added as protectant before lyophilization. |
Reconstitution |
Dissolve the lyophilized protein in distilled water. It is recommended to resuspend at 0.5 mg/mL if the lyophilized powder is 100 ug or less, at 1mg/ml for 500ug or 1mg lyophilized powder. Do not mix by vortex or vigorous shaking. |
Stability And Storage |
-20 to -80°C for 12 months as supplied from date of receipt.;-80°C for 3 months after reconstitution.;Recommend to aliquot the protein into smaller quantities for optimal storage. Please minimize freeze-thaw cycles. |
Check out our Frequently Asked Questions page for more details about product specifications, ordering, and shipments.