
- Express System: HEK293
- Product Tag: C-His-Avi
- Purity: > 95% as determined by Bis-Tris PAGE;> 95% as determined by HPLC
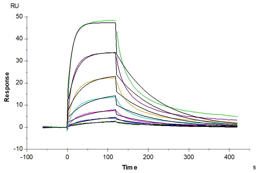
- Activity: The affinity constant of 0.13 uM as determined in SPR assay (Biacore T200).
- Amino Acid Range: Ile27-Lys243
Product Description |
Recombinant Biotinylated Cynomolgus IFN alpha/beta R2 Protein is expressed from HEK293 with His tag and Avi tag at the C-terminus.It contains Ile27-Lys243. |
Product Background |
Although interferon (IFN)-α is known to exert immunomodulatory and antiproliferative effects on dendritic cells (DCs) through induction of protein-coding IFN-stimulated genes (ISGs), little is known about IFN-α-regulated miRNAs in DCs. Since several miRNAs are involved in regulating DC functions, it is important to investigate whether IFN-α's effects on DCs are mediated through miRNAs as well. |
Product Category |
Recombinant Protein / Antibody discovery / Antibody discovery | Others |
Protein |
IFN alpha/beta R2 |
Synonyms |
IFN-R-2; IFNAR2; IFNARB; IFNABR; IFN-alpha; IFN-alpha/beta R2; IFNbR2; IFN-R; β receptor 2; β receptor10; |
Accession |
|
Species |
Cynomolgus |
Biotinylated |
yes |
Amino Acid Range |
Ile27-Lys243 |
Molecular Weight |
The protein has a predicted MW of 27.75 kDa. Due to glycosylation, the protein migrates to 45-60 kDa based on Bis-Tris PAGE result. |
Activity |
The affinity constant of 0.13 uM as determined in SPR assay (Biacore T200). |
Product Tag |
C-His-Avi |
Expression System |
HEK293 |
Purity |
> 95% as determined by Bis-Tris PAGE;> 95% as determined by HPLC |
Endotoxin |
Less than 1 EU per ug by the LAL method. |
Form |
Lyophilized |
Shipping |
Shipped at ambient temperature. |
Formulation |
Lyophilized from 0.22 um filtered solution in PBS (pH 7.4). Normally 8% trehalose is added as protectant before lyophilization. |
Reconstitution |
Dissolve the lyophilized protein in distilled water. It is recommended to resuspend at 0.5 mg/mL if the lyophilized powder is 100 ug or less, at 1mg/ml for 500ug or 1mg lyophilized powder. Do not mix by vortex or vigorous shaking. |
Stability And Storage |
-20 to -80°C for 12 months as supplied from date of receipt.;-80°C for 3 months after reconstitution.;Recommend to aliquot the protein into smaller quantities for optimal storage. Please minimize freeze-thaw cycles. |
Check out our Frequently Asked Questions page for more details about product specifications, ordering, and shipments.