- Express System: HEK293
- Product Tag: N-monomeric hFc, N-Flag
- Purity: > 95% as determined by Bis-Tris PAGE;> 90% as determined by HPLC
- Activity: Immobilized Human 4-1BB, hFc Tag at 1ug/ml (100ul/Well) on the plate. Dose response curve for Biotinylated Human 4-1BB Ligand (Trimer), hFc Tag with the EC50 of 9.0ng/ml determined by ELISA.
- Amino Acid Range: Arg71-Glu254
Biotinylated Human 4-1BB Ligand/TNFSF9 Trimer Protein (Primary Amine Labeling) (BBL-HM241B) Summary
Product Description |
Recombinant Biotinylated Human 4-1BB Ligand/TNFSF9 Trimer Protein (Primary Amine Labeling) is expressed from HEK293 with Flag tag and monomeric hFc tag at the N-Terminus.It contains Arg71-Glu254 trimer design. |
Product Background |
The 4-1BBL is the high affinity ligand of 4-1BB, also known as CD137L or TNFSF9. 4-1BB ligand (4-1BBL) is an inducible molecule present on several APC types, including B cells, macrophages and DCs.4-1BB:4-1BBL pathway seems to amplify the existing costimulatory signals, even if the engagement of 4-1BB in the presence of a strong TCR signaling can induce IL-2 production in a CD28-independent manner. |
Product Category |
Recombinant Protein / Antibody discovery / Immune checkpoint proteins |
Biotinylated Human 4-1BB Ligand/TNFSF9 Trimer Protein (Primary Amine Labeling) (BBL-HM241B) Specifications/Details
Protein |
4-1BB Ligand/TNFSF9 |
Synonyms |
41BB Ligand; 4-1BB Ligand; 4-1BBL; CD137L; TNFSF9 |
Accession |
|
Species |
Human |
Biotinylated |
yes |
Amino Acid Range |
Arg71-Glu254 |
Molecular Weight |
The protein has a predicted MW of 84.3 kDa same as Bis-Tris PAGE result. |
Activity |
Immobilized Human 4-1BB, hFc Tag at 1ug/ml (100ul/Well) on the plate. Dose response curve for Biotinylated Human 4-1BB Ligand (Trimer), hFc Tag with the EC50 of 9.0ng/ml determined by ELISA. |
Product Tag |
N-monomeric hFc, N-Flag |
Expression System |
HEK293 |
Purity |
> 95% as determined by Bis-Tris PAGE;> 90% as determined by HPLC |
Endotoxin |
Less than 1 EU per ug by the LAL method. |
Shipping, Reconstitution, & Storage
Form |
Lyophilized |
Shipping |
Shipped at ambient temperature. |
Formulation |
Lyophilized from 0.22 um filtered solution in PBS (pH 7.4). Normally 8% trehalose is added as protectant before lyophilization. |
Reconstitution |
Dissolve the lyophilized protein in distilled water. It is recommended to resuspend at 0.5 mg/mL if the lyophilized powder is 100 ug or less, at 1mg/ml for 500ug or 1mg lyophilized powder. Do not mix by vortex or vigorous shaking. |
Stability And Storage |
-20 to -80°C for 12 months as supplied from date of receipt.;-80°C for 3 months after reconstitution.;Recommend to aliquot the protein into smaller quantities for optimal storage. Please minimize freeze-thaw cycles. |
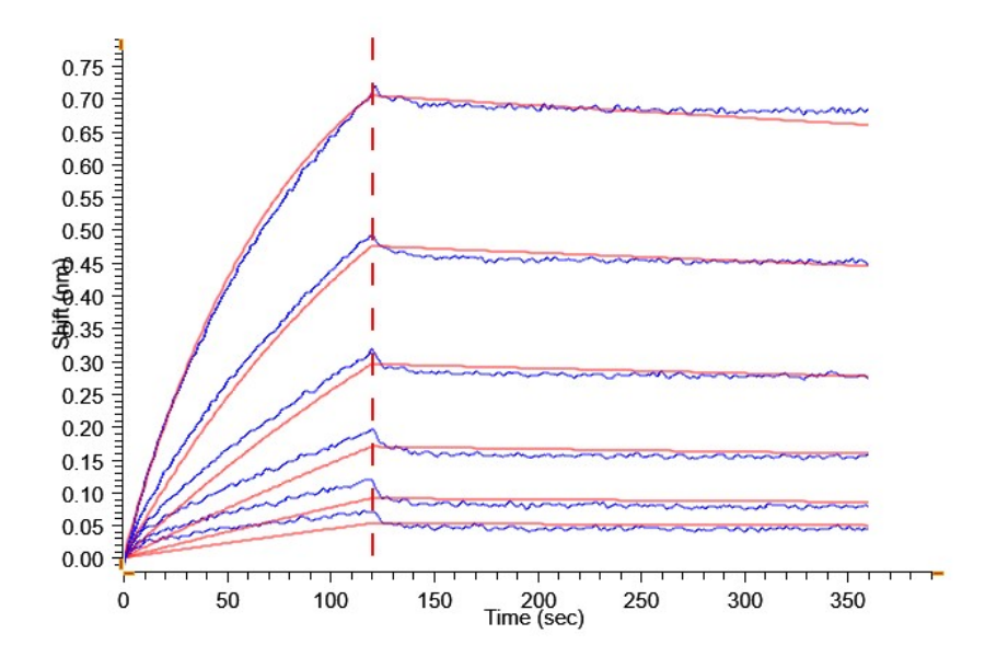
Validation Images
Related Products
Have more questions?
Check out our Frequently Asked Questions page for more details about product specifications, ordering, and shipments.
Contact Us
More from Antibody Drug Discovery Proteins
Recently viewed
