
- Express System: HEK293
- Product Tag: C-His
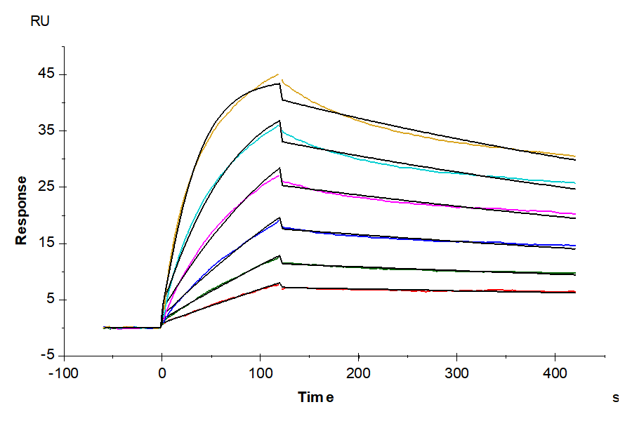
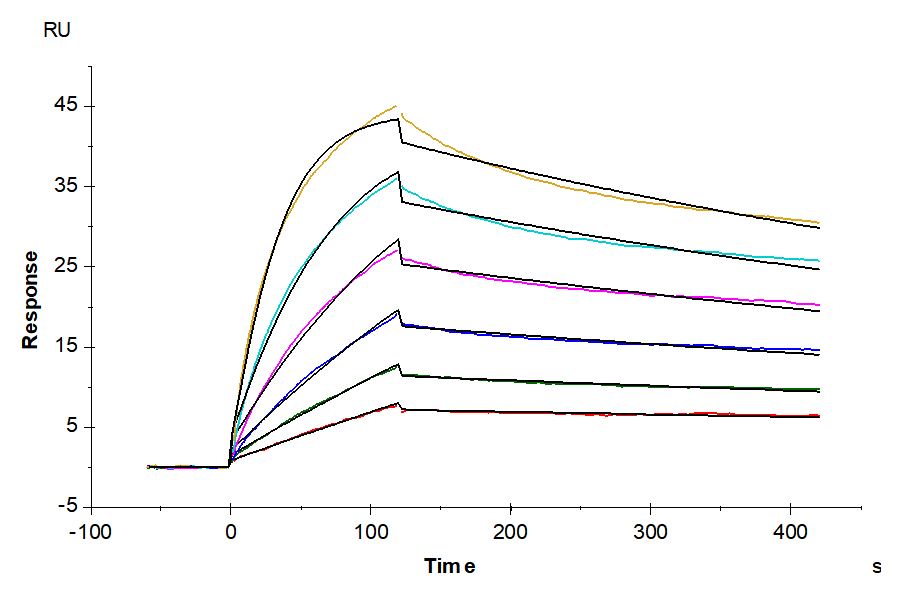
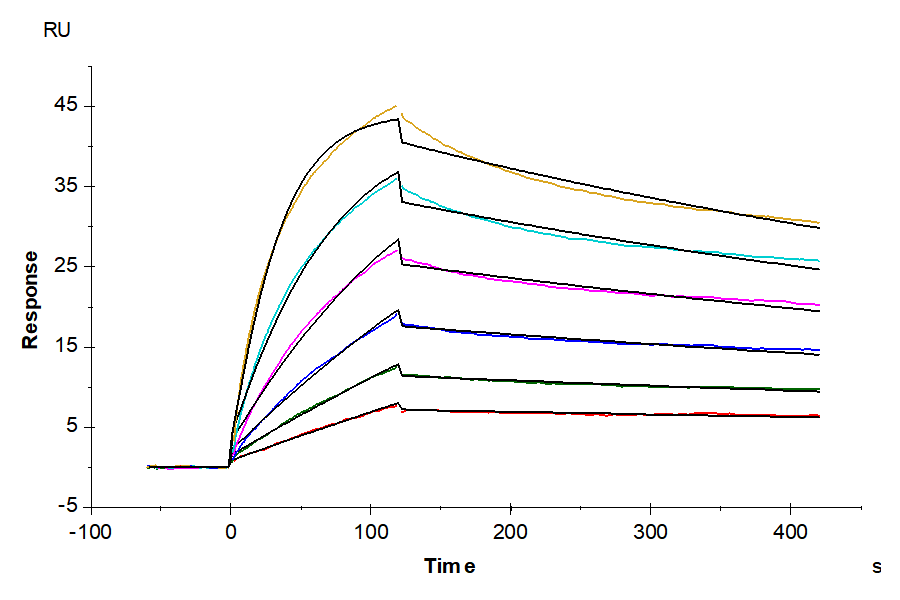
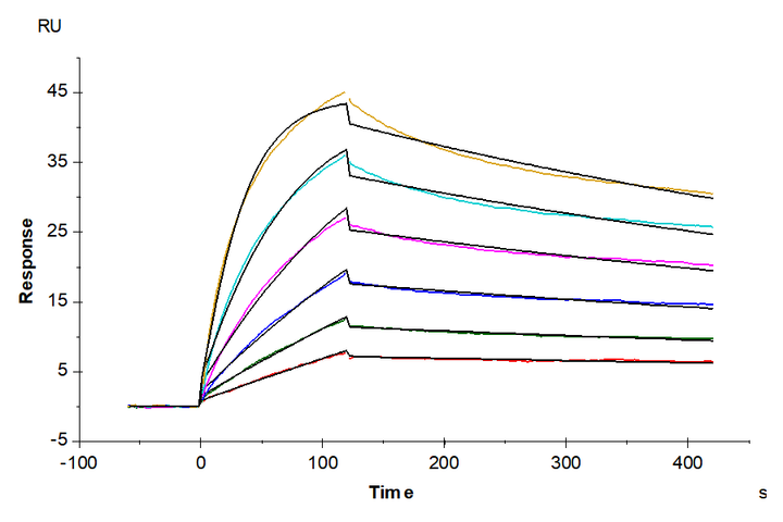
- Activity: Immobilized Biotinylated Human CCR7 Nanodisc, His Tag at 5ug/ml (100ul/well) on the streptavidin precoated plate (5ug/ml). Dose response curve for Anti-CCR7 Antibody, hFc Tag with the EC50 of 23.7ng/ml determined by ELISA (QC Test). See testing image for detail.
- Amino Acid Range: Met1-Pro378