- Express System: HEK293
- Product Tag: C-hFc-Avi
- Purity: > 95% as determined by Bis-Tris PAGE;> 95% as determined by HPLC
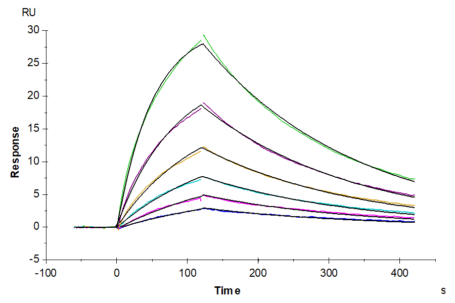
- Activity: Immobilized Biotinylated Human CD3E&CD3G, hFc Tag at 1ug/ml (100ul/Well) on streptavidin (5ug/ml) precoated plate. Dose response curve for OKT3, mFc Tag with the EC50 of 30.3ng/ml determined by ELISA (QC Test). The affinity constant of 0.25 µM as determined in SPR assay (Biacore T200).
- Amino Acid Range: Asp23-Asp126(CD3E) & Gln23-Ser116(CD3G)
Biotinylated Human CD3E&CD3G/CD3 epsilon&CD3 gamma Protein (CD3-HM557B) Summary
Product Description |
Recombinant Biotinylated Human CD3E&CD3G/CD3 epsilon&CD3 gamma Protein is expressed from HEK293 with hFc tag and Avi tag at the C-Terminus of CD3E and hFc tag at the C-Terminus of CD3G.It contains Asp23-Asp126(CD3E) and Gln23-Ser116(CD3G). |
Product Background |
T-cell surface glycoprotein CD3 epsilon&CD3 gamma chain, also known as CD3E&CD3G , are single-pass type I membrane proteins.When antigen presenting cells (APCs) activate T-cell receptor (TCR), TCR-mediated signals are transmitted across the cell membrane by the CD3 chains CD3D, CD3E, CD3G and CD3Z. All CD3 chains contain immunoreceptor tyrosine-based activation motifs (ITAMs) in their cytoplasmic domain. |
Product Category |
Recombinant Protein / Antibody discovery / Antibody discovery | Others |
Biotinylated Human CD3E&CD3G/CD3 epsilon&CD3 gamma Protein (CD3-HM557B) Specifications/Details
Protein |
CD3E&CD3G/CD3 epsilon&CD3 gamma |
Synonyms |
CD3; CD3 epsilon; CD3epsilon; CD3ε; CD3 ε; CD3E; CD3e; CD3 gamma; CD3gamma; CD3γ; CD3 γ; CD3G; CD3g; CD3epsilon&CD3gamma; CD3 epsilon&CD3 gamma; CD3 epsilon & CD3 gamma; CD3ε&CD3γ; CD3 ε&CD3 γ; CD3 ε & CD3 γ; CD3E&CD3G; CD3E & CD3G; CD3 E & CD3 G; CD3e&CD3g; CD3e & CD3g; CD3 e & CD3 g |
Accession |
|
Species |
Human |
Biotinylated |
yes |
Amino Acid Range |
Asp23-Asp126(CD3E) & Gln23-Ser116(CD3G) |
Molecular Weight |
The protein has a predicted MW of 40 kDa (CD3E) and 36.5 kDa (CD3G). Due to glycosylation, the protein migrates to 48-55 kDa based on Bis-Tris PAGE result. |
Activity |
Immobilized Biotinylated Human CD3E&CD3G, hFc Tag at 1ug/ml (100ul/Well) on streptavidin (5ug/ml) precoated plate. Dose response curve for OKT3, mFc Tag with the EC50 of 30.3ng/ml determined by ELISA (QC Test). The affinity constant of 0.25 µM as determined in SPR assay (Biacore T200). |
Product Tag |
C-hFc-Avi |
Expression System |
HEK293 |
Purity |
> 95% as determined by Bis-Tris PAGE;> 95% as determined by HPLC |
Endotoxin |
Less than 1 EU per ug by the LAL method. |
Shipping, Reconstitution, & Storage
Form |
Lyophilized |
Shipping |
Shipped at ambient temperature. |
Formulation |
Lyophilized from 0.22um filtered solution in PBS (pH 7.4). Normally 8% trehalose is added as protectant before lyophilization. |
Reconstitution |
Dissolve the lyophilized protein in distilled water. It is recommended to resuspend at 0.5 mg/mL if the lyophilized powder is 100 ug or less, at 1mg/ml for 500ug or 1mg lyophilized powder. Do not mix by vortex or vigorous shaking. |
Stability And Storage |
-20 to -80°C for 12 months as supplied from date of receipt.;-80°C for 3 months after reconstitution.;Recommend to aliquot the protein into smaller quantities for optimal storage. Please minimize freeze-thaw cycles. |
Validation Images
Related Products
Have more questions?
Check out our Frequently Asked Questions page for more details about product specifications, ordering, and shipments.
Contact Us
More from Antibody Drug Discovery Proteins
Recently viewed
