
- Express System: HEK293
- Purity: > 95% as determined by HPLC
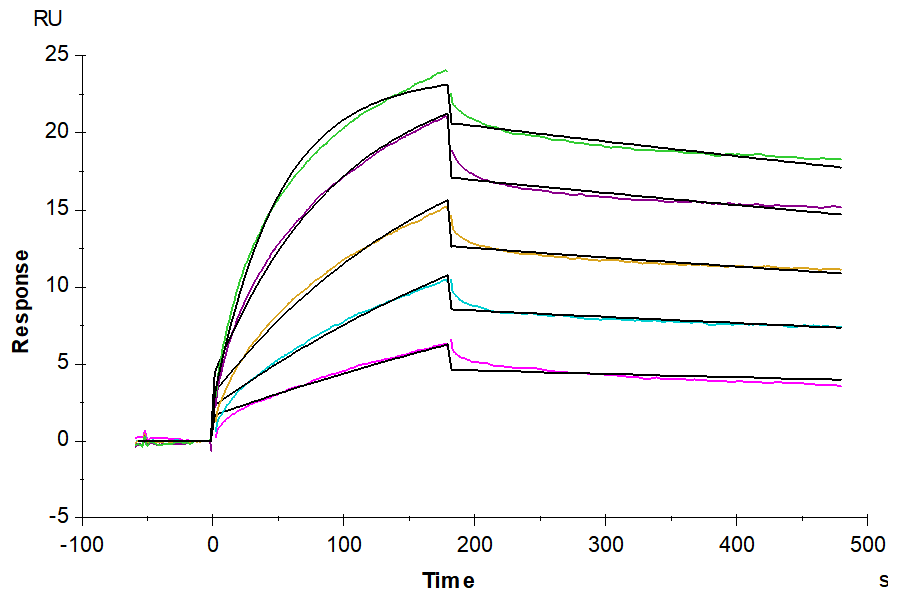
- Activity: Immobilized Biotinylated Human Claudin18.2 VLP at 5ug/ml (100ul/well) on the streptavidin precoated plate (5ug/ml). Dose response curve for Anti-Claudin18.2 Antibody, hFc Tag with the EC50 of 16.1ng/ml determined by ELISA (QC Test). The affinity constant of 1.28 nM as determined in SPR assay (Biacore T200). See testing image for detail.
- Amino Acid Range: Met1-Val261