
- Express System: HEK293
- Product Tag: C-His
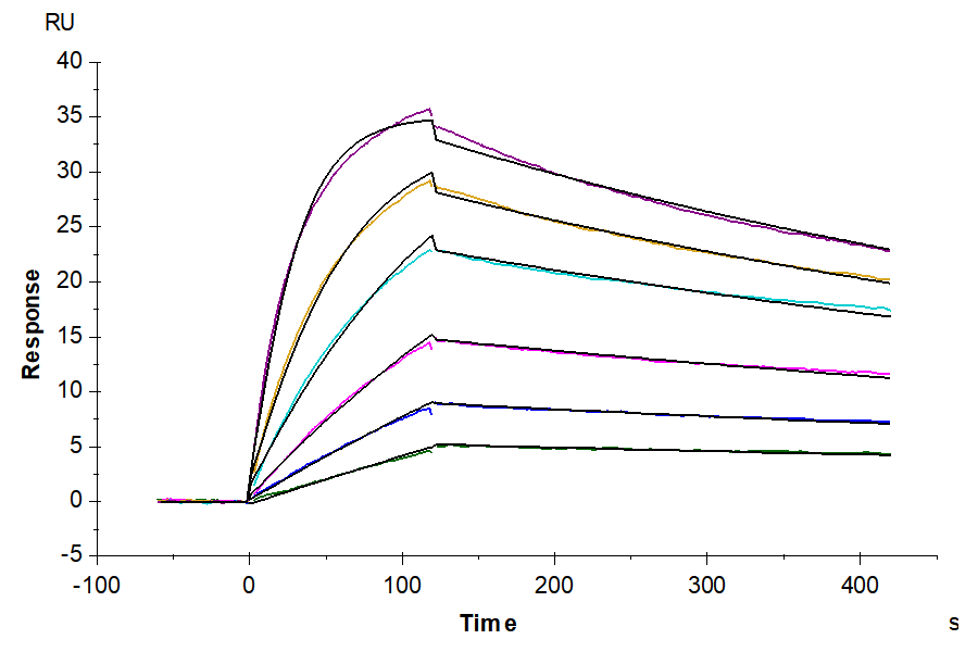
- Activity: Immobilized Biotinylated Human Claudin 4 Nanodisc, His Tag at 5ug/ml (100ul/well) on the streptavidin precoated plate (5ug/ml). Dose response curve for Anti-Claudin 4 Antibody, hFc Tag with the EC50 of 6.6ng/ml determined by ELISA (QC Test). The affinity constant of 6.145 nM as determined in SPR assay (Biacore T200). See testing image for detail.
- Amino Acid Range: Met1-Val209