Biotinylated Human CXCR7 Nanodisc (CXR-HM17NB)
Biotinylated Human CXCR7 Nanodisc (CXR-HM17NB)
  • Express System: HEK293
  • Product Tag: C-His
  • Activity: Immobilized Biotinylated Human CXCR7 Nanodisc, His Tag at 5ug/ml (100ul/well) on the streptavidin precoated plate (5ug/ml). Dose response curve for Anti-CXCR7 Antibody 1, hFc Tag with the EC50 of 24.2ng/ml determined by ELISA. The affinity constant of 3.22 nM as determined in SPR assay (Biacore T200).
  • Amino Acid Range: Met1-Lys362
  • Other Available Proteins:
    Loading...
Catalog #CXR-HM17NB
Regular price $2,166.00
/
Size

Order by 4pm ET for delivery on:

Biotinylated Human CXCR7 Nanodisc (CXR-HM17NB) Summary

Product Description

Recombinant Biotinylated Human CXCR7 Nanodisc is expressed from HEK293 with His tag at the C-terminus.It contains Met1-Lys362.

Product Background

Atypical chemokine receptor 3 (ACKR3), previously known as C-X-C chemokine receptor type 7 (CXCR7), has emerged as a key player in several biologic processes, particularly during development. Its CXCL11 and CXCL12 scavenging activity and atypical signaling properties, together with a new array of other nonchemokine ligands, have established ACKR3 as a main regulator of physiologic processes at steady state and during inflammation.

Product Category

Recombinant Protein / Antibody discovery / Multiple transmembrane proteins / Nanodisc

Biotinylated Human CXCR7 Nanodisc (CXR-HM17NB) Specifications/Details

Protein
CXCR7
Synonyms
CXC-R7; CXCR-7; ACKR3; CMKOR1; GPR159; RDC1; RDC-1
Accession
Species
Human
Biotinylated
no
Amino Acid Range
Met1-Lys362
Molecular Weight
The protein has a predicted MW of 54.4 kDa.
Activity
Immobilized Biotinylated Human CXCR7 Nanodisc, His Tag at 5ug/ml (100ul/well) on the streptavidin precoated plate (5ug/ml). Dose response curve for Anti-CXCR7 Antibody 1, hFc Tag with the EC50 of 24.2ng/ml determined by ELISA. The affinity constant of 3.22 nM as determined in SPR assay (Biacore T200).
Product Tag
C-His
Expression System
HEK293
Endotoxin
Less than 1 EU per ug by the LAL method.

Shipping, Reconstitution, & Storage

Form
Liquid
Shipping
Shipped with dry ice.
Formulation
Supplied as 0.22 um filtered solution in PBS, 200mM L-arginine (pH 7.4). Notice: Not recommended for flow cytometry in mammalian cells.
Stability And Storage
Valid for 6 months from date of receipt when stored at -80°C.; Recommend to aliquot the protein into smaller quantities for optimal storage. Please minimize freeze-thaw cycles.

Validation Images

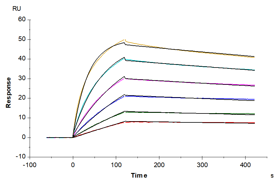
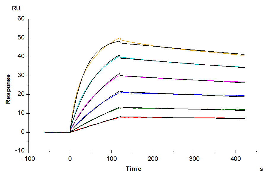
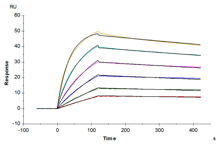
Biotinylated Human CXCR7 Nanodisc, His Tag captured on CM5 Chip via Streptavidin can bind Anti-CXCR7 Antibody 1, hFc Tag with an affinity constant of 3.22 nM as determined in SPR assay (Biacore T200). Biotinylated Human CXCR7 Nanodisc, His Tag captured on CM5 Chip via Streptavidin can bind Anti-CXCR7 Antibody 1, hFc Tag with an affinity constant of 3.22 nM as determined in SPR assay (Biacore T200).
Immobilized Biotinylated Human CXCR7 Nanodisc, His Tag at 5ug/ml (100ul/well) on the streptavidin precoated plate (5ug/ml). Dose response curve for Anti-CXCR7 Antibody 1, hFc Tag with the EC50 of 24.2ng/ml determined by ELISA. Immobilized Biotinylated Human CXCR7 Nanodisc, His Tag at 5ug/ml (100ul/well) on the streptavidin precoated plate (5ug/ml). Dose response curve for Anti-CXCR7 Antibody 1, hFc Tag with the EC50 of 24.2ng/ml determined by ELISA.
Immobilized Biotinylated Human CXCR7 Nanodisc, His Tag at 5ug/ml (100ul/well) on the streptavidin precoated plate (5ug/ml). Dose response curve for Anti-CXCR7 Antibody 2, hFc Tag with the EC50 of 3.5ng/ml determined by ELISA. Immobilized Biotinylated Human CXCR7 Nanodisc, His Tag at 5ug/ml (100ul/well) on the streptavidin precoated plate (5ug/ml). Dose response curve for Anti-CXCR7 Antibody 2, hFc Tag with the EC50 of 3.5ng/ml determined by ELISA.
Have more questions?

Check out our Frequently Asked Questions page for more details about product specifications, ordering, and shipments.

Recommended Products

Recently viewed