
- Express System: HEK293
- Product Tag: C-His
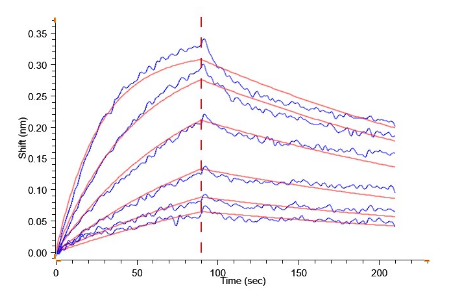
- Activity: Immobilized Biotinylated Human GPRC5D Nanodisc, His Tag at 5ug/ml (100ul/well) on the streptavidin precoated plate(5ug/ml). Dose response curve for Anti-GPRC5D Antibody, hFc Tag with the EC50 of 5.6ng/ml determined by ELISA (QC Test). See testing image for detail.
- Amino Acid Range: Met1-Val345