- Express System: HEK293
- Product Tag: C-His
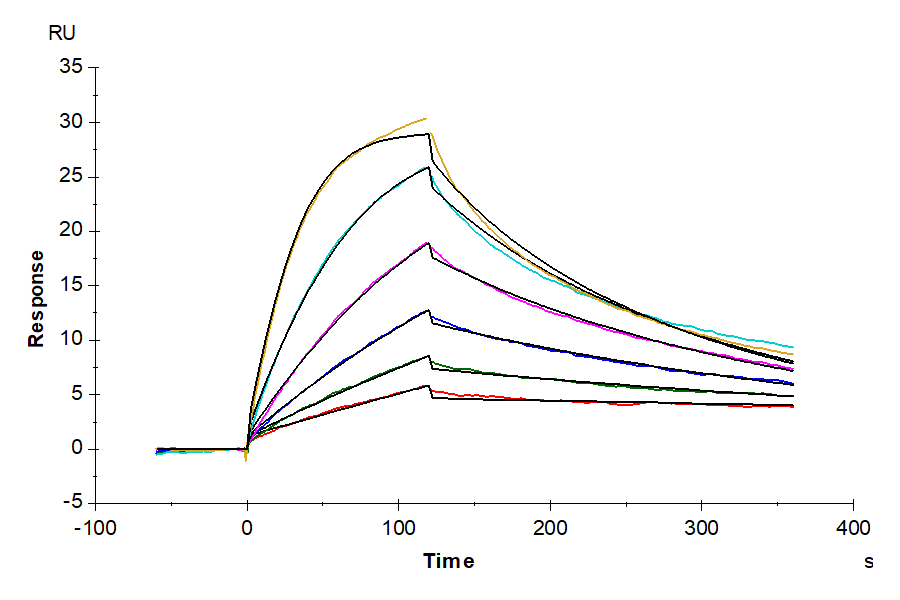
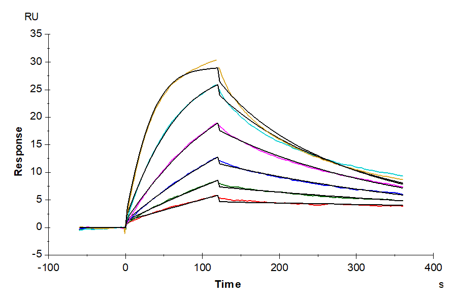
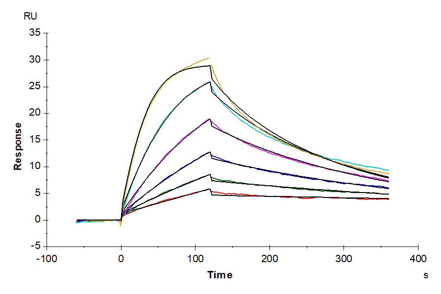
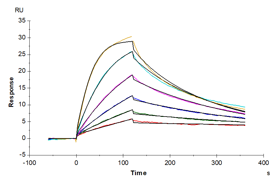
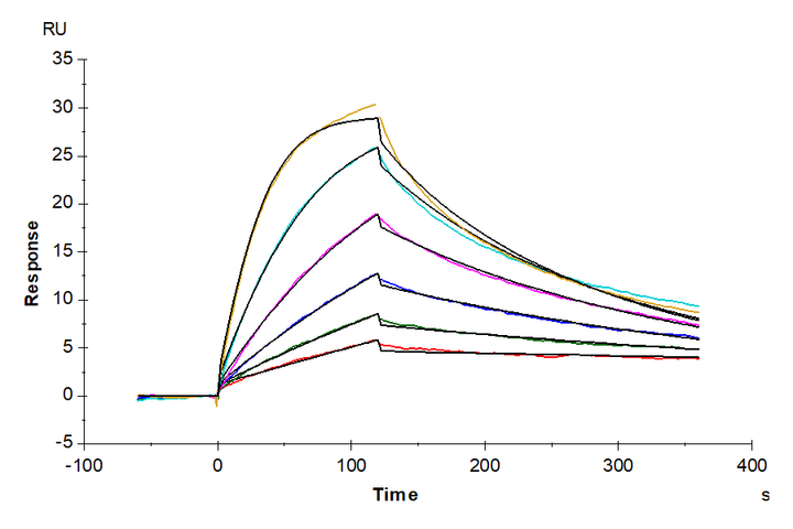
- Activity: Immobilized Biotinylated Human KRAS G12D TCR&CD3 Complex Nanodisc, His Tag at 2ug/ml (100ul/well) on the streptavidin precoated plate (5ug/ml). Dose response curve for OKT3, mFc Tag with the EC50 of 17.5ng/ml determined by ELISA. The affinity constant of 0.21 nM as determined in SPR assay (Biacore T200).
- Amino Acid Range: KRAS G12D specific TCR (JD1a41b1), CD3ε&CD3γ, CD3ε&CD3δ, and CD3ζ dimers
Biotinylated Human KRAS G12D TCR&CD3 Complex Nanodisc (TCC-HM102) Summary
Product Description |
Recombinant Biotinylated Human KRAS G12D TCR&CD3 Complex Nanodisc is expressed from HEK293. Both the biotin and the His tag are located on the C-terminus of the KRAS G12D TCR.It contains KRAS G12D specific TCR (JD1a41b1), CD3ε&CD3γ, CD3ε&CD3δ, and CD3ζ dimers. |
Product Background |
The JD1a41b1 TCR is an engineered, high-affinity T-cell receptor that strictly recognizes the peptide fragment of KRAS G12D (VVVGADGVGK) presented on the HLA-A*11:01 only. Cluster of Differentiation 3 (CD3) is a multimeric protein complex and T cell co-receptor that plays an essential role in adaptive immune responses. These CD3 dimers bind non-covalently to the TCR to form the TCR&CD3 complex on the cell surface. |
Product Category |
Recombinant Protein / Antibody discovery / Multiple transmembrane proteins / Nanodisc |
Biotinylated Human KRAS G12D TCR&CD3 Complex Nanodisc (TCC-HM102) Specifications/Details
Protein |
KRAS G12D TCR&CD3 |
Synonyms |
KRAS G12D TCR&CD3 |
Species |
Human |
Biotinylated |
yes |
Amino Acid Range |
KRAS G12D specific TCR (JD1a41b1), CD3ε&CD3γ, CD3ε&CD3δ, and CD3ζ dimers |
Molecular Weight |
The protein has a predicted MW of 196.0 kDa. |
Activity |
Immobilized Biotinylated Human KRAS G12D TCR&CD3 Complex Nanodisc, His Tag at 2ug/ml (100ul/well) on the streptavidin precoated plate (5ug/ml). Dose response curve for OKT3, mFc Tag with the EC50 of 17.5ng/ml determined by ELISA. The affinity constant of 0.21 nM as determined in SPR assay (Biacore T200). |
Product Tag |
C-His |
Expression System |
HEK293 |
Endotoxin |
Less than 1 EU per ug by the LAL method. |
Shipping, Reconstitution, & Storage
Form |
Liquid |
Shipping |
Shipped with dry ice. |
Formulation |
Supplied as 0.22 um filtered solution in PBS, 200mM L-arginine (pH 7.4). |
Stability And Storage |
Valid for 6 months from date of receipt when stored at -80°C.; Recommend to aliquot the protein into smaller quantities for optimal storage. Please minimize freeze-thaw cycles. |
Validation Images
Related Products
Have more questions?
Check out our Frequently Asked Questions page for more details about product specifications, ordering, and shipments.
Contact Us
More from Antibody Drug Discovery Proteins
Recently viewed
