- Express System: HEK293
- Product Tag: C-His-Avi
- Purity: > 95% as determined by Bis-Tris PAGE;> 95% as determined by HPLC
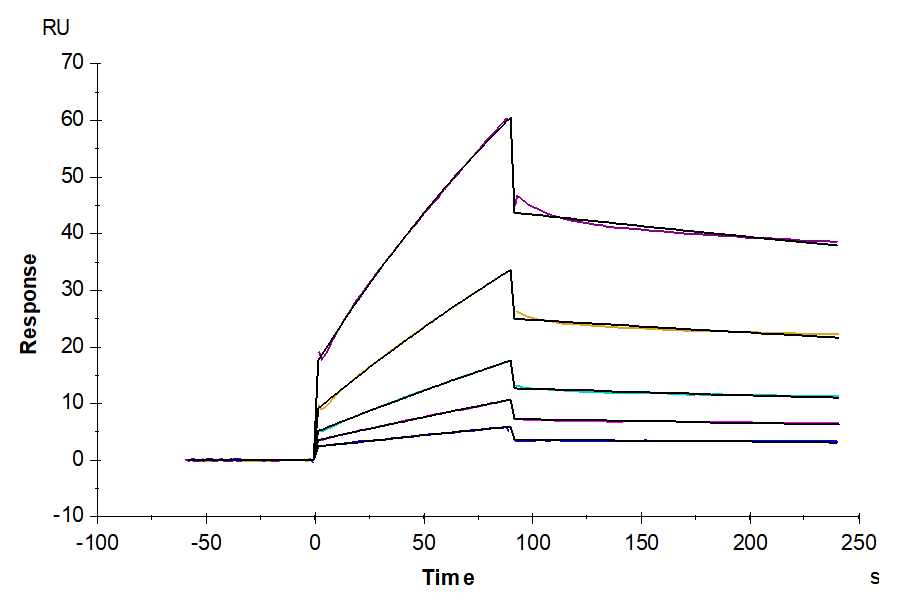
- Activity: The affinity constant of 0.45 uM as determined in SPR assay (Biacore T200).
- Amino Acid Range: Ser30-Ala667
Biotinylated Mouse CDCP1 Protein (CDC-MM401B) Summary
Product Description |
Recombinant Biotinylated Mouse CDCP1 Protein is expressed from HEK293 with His tag and Avi tag at the C-Terminus.It contains Ser30-Ala667. |
Product Background |
Tumor metastasis depends on the dynamic regulation of cell adhesion through β1-integrin. The Cub-Domain Containing Protein-1, CDCP1, is a transmembrane glycoprotein which regulates cell adhesion. Overexpression and loss of CDCP1 have been observed in the same cancer types to promote metastatic progression. |
Product Category |
Recombinant Protein / Antibody discovery / Antibody discovery | Others |
Biotinylated Mouse CDCP1 Protein (CDC-MM401B) Specifications/Details
Protein |
CDCP1 |
Synonyms |
CDCP1; CD318; SIMA135; TRASK; UNQ2486; PRO5773 |
Accession |
|
Species |
Mouse |
Biotinylated |
yes |
Amino Acid Range |
Ser30-Ala667 |
Molecular Weight |
The protein has a predicted MW of 75.3 kDa. Due to glycosylation, the protein migrates to 80-100 kDa based on Bis-Tris PAGE result. |
Activity |
The affinity constant of 0.45 uM as determined in SPR assay (Biacore T200). |
Product Tag |
C-His-Avi |
Expression System |
HEK293 |
Purity |
> 95% as determined by Bis-Tris PAGE;> 95% as determined by HPLC |
Endotoxin |
Less than 1 EU per ug by the LAL method. |
Shipping, Reconstitution, & Storage
Form |
Lyophilized |
Shipping |
Shipped at ambient temperature. |
Formulation |
Lyophilized from 0.22um filtered solution in PBS (pH 7.4). Normally 8% trehalose is added as protectant before lyophilization. |
Reconstitution |
Dissolve the lyophilized protein in distilled water. It is recommended to resuspend at 0.5 mg/mL if the lyophilized powder is 100 ug or less, at 1mg/ml for 500ug or 1mg lyophilized powder. Do not mix by vortex or vigorous shaking. |
Stability And Storage |
-20 to -80°C for 12 months as supplied from date of receipt.;-80°C for 3 months after reconstitution.;Recommend to aliquot the protein into smaller quantities for optimal storage. Please minimize freeze-thaw cycles. |
Validation Images
Related Products
Have more questions?
Check out our Frequently Asked Questions page for more details about product specifications, ordering, and shipments.
Contact Us
More from Antibody Drug Discovery Proteins
Recently viewed
