- Express System: HEK293
- Product Tag: C-His-Avi
- Purity: > 95% as determined by Bis-Tris PAGE;> 95% as determined by HPLC
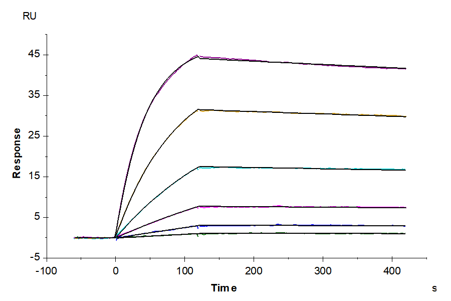
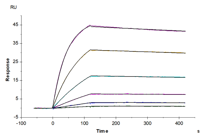
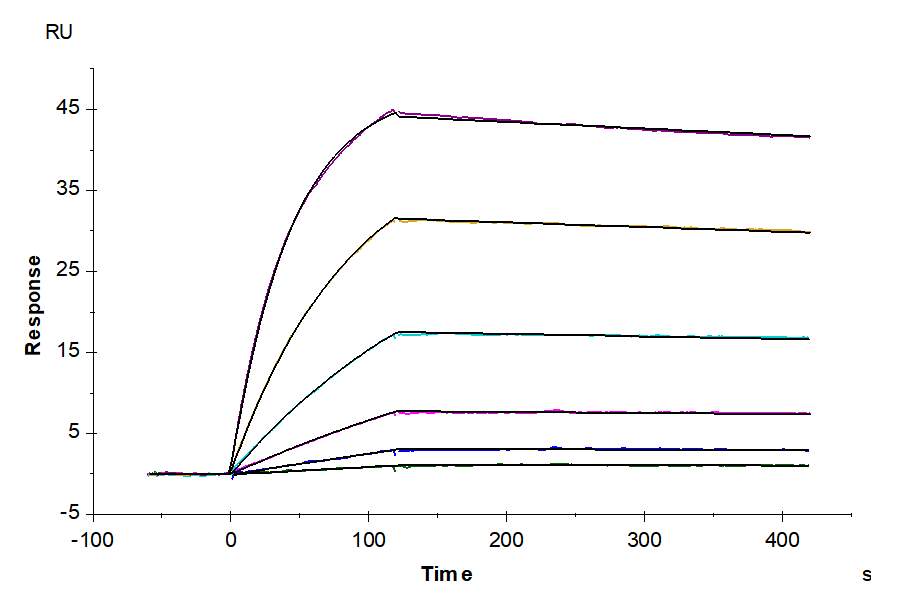
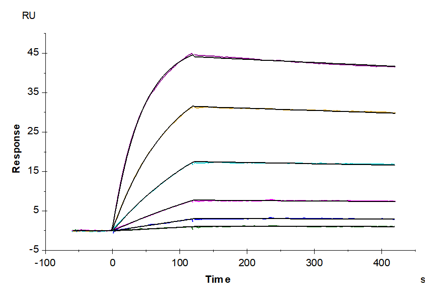
- Activity: Immobilized Human Fc epsilon RI alpha, hFc Tag at 1ug/ml (100ul/well) on the plate. Dose response curve for Biotinylated Mouse IgE, His Avi Tag with the EC50 of 42.0ng/ml determined by ELISA. The affinity constant of 0.42 nM as determined in SPR assay (Biacore T200).
- Amino Acid Range: Asp198-Ser421
Biotinylated Mouse IgE Protein (IGE-MM401B) Summary
Product Description |
Recombinant Biotinylated Mouse IgE Protein is expressed from HEK293 with with His tag and Avi tag at the C-terminus.It contains Asp198-Ser421. |
Product Background |
Immunoglobulin E (IgE) is well known for its role in allergic disease, the manifestations of which are mediated through its two Fc receptors, FcεRI and CD23 (FcεRII). IgE and its interactions with these receptors are therefore potential targets for therapeutic intervention, and exciting progress has been made in this direction. Furthermore, recent structural studies of IgE-Fc, the two receptors, and of their complexes, have revealed a remarkable degree of plasticity at the IgE-CD23 interface and an even more remarkable degree of dynamic flexibility within the IgE molecule. |
Product Category |
Recombinant Protein / Antibody discovery / Antibody discovery | Others |
Biotinylated Mouse IgE Protein (IGE-MM401B) Specifications/Details
Protein |
IgE |
Synonyms |
Ig epsilon chain C region;IgE |
Accession |
|
Species |
Mouse |
Biotinylated |
yes |
Amino Acid Range |
Asp198-Ser421 |
Molecular Weight |
The protein has a predicted MW of 28.2 kDa. Due to glycosylation, the protein migrates to 35-45 kDa based on Bis-Tris PAGE result. |
Activity |
Immobilized Human Fc epsilon RI alpha, hFc Tag at 1ug/ml (100ul/well) on the plate. Dose response curve for Biotinylated Mouse IgE, His Avi Tag with the EC50 of 42.0ng/ml determined by ELISA. The affinity constant of 0.42 nM as determined in SPR assay (Biacore T200). |
Product Tag |
C-His-Avi |
Expression System |
HEK293 |
Purity |
> 95% as determined by Bis-Tris PAGE;> 95% as determined by HPLC |
Endotoxin |
Less than 1 EU per ug by the LAL method. |
Shipping, Reconstitution, & Storage
Form |
Lyophilized |
Shipping |
Shipped at ambient temperature. |
Formulation |
Lyophilized from 0.22 um filtered solution in PBS (pH 7.4). Normally 8% trehalose is added as protectant before lyophilization. |
Reconstitution |
Dissolve the lyophilized protein in distilled water. It is recommended to resuspend at 0.5 mg/mL if the lyophilized powder is 100 ug or less, at 1mg/ml for 500ug or 1mg lyophilized powder. Do not mix by vortex or vigorous shaking. |
Stability And Storage |
-20 to -80°C for 12 months as supplied from date of receipt.;-80°C for 3 months after reconstitution.;Recommend to aliquot the protein into smaller quantities for optimal storage. Please minimize freeze-thaw cycles. |
Validation Images
Related Products
Have more questions?
Check out our Frequently Asked Questions page for more details about product specifications, ordering, and shipments.
Contact Us
More from Antibody Drug Discovery Proteins
Recently viewed
