- Express System: HEK293
- Product Tag: C-His-Avi
- Purity: > 95% as determined by Bis-Tris PAGE;> 95% as determined by HPLC
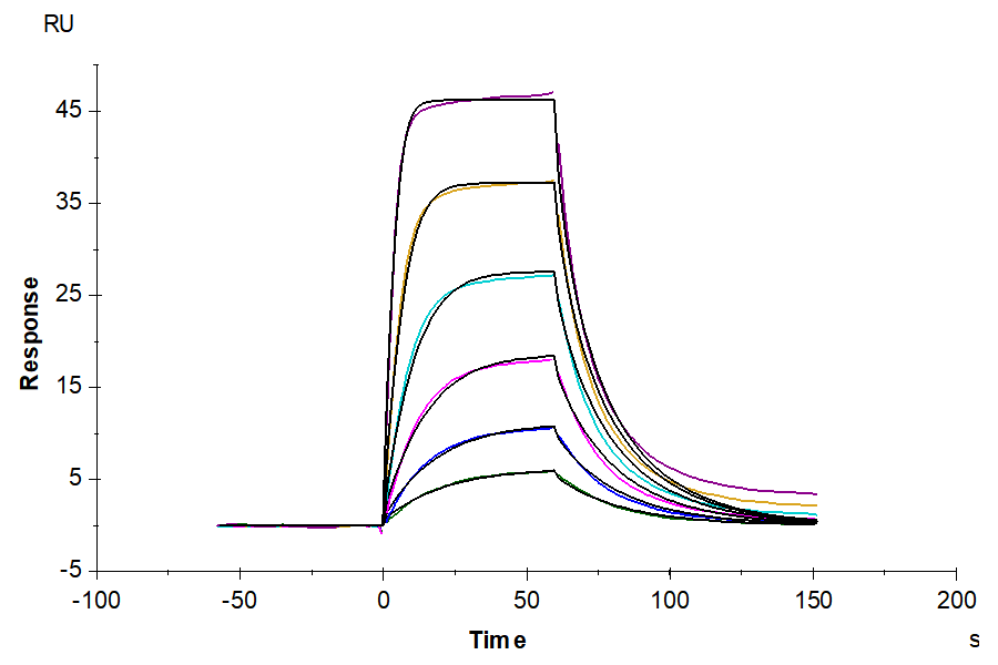
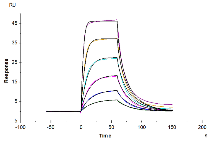
- Activity: The affinity constant of 418.50 nM as determined in SPR assay (Biacore T200).
- Amino Acid Range: Leu24-Gly298
Biotinylated Mouse uPAR/PLAUR Protein (PAR-MM401B) Summary
Product Description |
Recombinant Biotinylated Mouse uPAR/PLAUR Protein is expressed from HEK293 with His tag and Avi tag at the C-Terminus.It contains Leu24-Gly298. |
Product Background |
The receptor (u-PAR) for urokinase plasminogen activator (u-PA) is a three-domain protein, GPI-anchored to the cell surface, which focuses the enzymatic activity of u-PA, and allows the cell surface activation of plasminogen.Regulation of the activity of u-PA is also mediated by u-PAR. |
Product Category |
Recombinant Protein / Antibody discovery / Antibody discovery | Others |
Biotinylated Mouse uPAR/PLAUR Protein (PAR-MM401B) Specifications/Details
Protein |
uPAR/PLAUR |
Synonyms |
U-PAR; uPAR; CD87; PLAUR; MO3; UPAR |
Accession |
|
Species |
Mouse |
Biotinylated |
yes |
Amino Acid Range |
Leu24-Gly298 |
Molecular Weight |
The protein has a predicted MW of 32.92 kDa. Due to glycosylation, the protein migrates to 55-65 kDa based on Bis-Tris PAGE result. |
Activity |
The affinity constant of 418.50 nM as determined in SPR assay (Biacore T200). |
Product Tag |
C-His-Avi |
Expression System |
HEK293 |
Purity |
> 95% as determined by Bis-Tris PAGE;> 95% as determined by HPLC |
Endotoxin |
Less than 1 EU per ug by the LAL method. |
Shipping, Reconstitution, & Storage
Form |
Lyophilized |
Shipping |
Shipped at ambient temperature. |
Formulation |
Lyophilized from 0.22um filtered solution in PBS (pH 7.4). Normally 8% trehalose is added as protectant before lyophilization. |
Reconstitution |
Dissolve the lyophilized protein in distilled water. It is recommended to resuspend at 0.5 mg/mL if the lyophilized powder is 100 ug or less, at 1mg/ml for 500ug or 1mg lyophilized powder. Do not mix by vortex or vigorous shaking. |
Stability And Storage |
-20 to -80°C for 12 months as supplied from date of receipt.;-80°C for 3 months after reconstitution.;Recommend to aliquot the protein into smaller quantities for optimal storage. Please minimize freeze-thaw cycles. |
Validation Images
Related Products
Have more questions?
Check out our Frequently Asked Questions page for more details about product specifications, ordering, and shipments.
Contact Us
More from Antibody Drug Discovery Proteins
Recently viewed
