- Express System: HEK293
- Product Tag: C-mFc
- Purity: > 95% as determined by Bis-Tris PAGE;> 95% as determined by HPLC
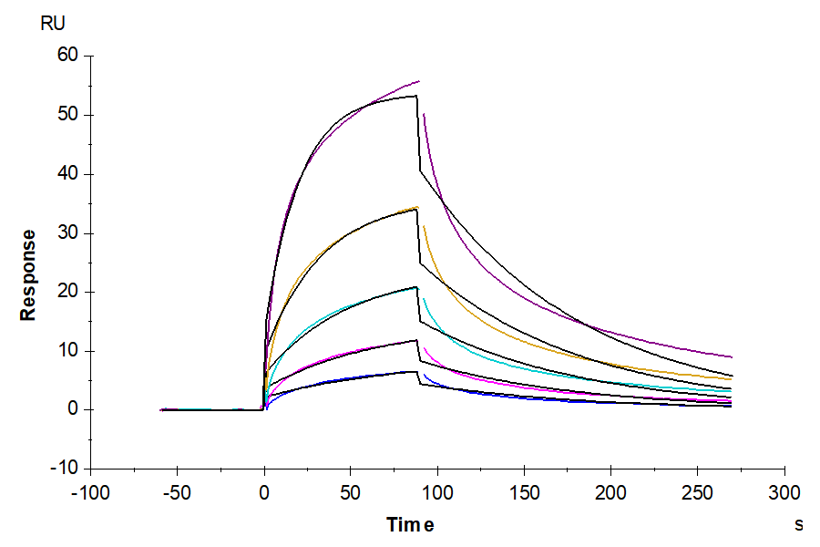
- Activity: Immobilized Cynomolgus CCR8, mFc Tag at 1ug/ml (100ul/well) on the plate. Dose response curve for Anti-CCR8 Antibody, hFc Tag with the EC50 of 6.1ng/ml determined by ELISA. The affinity constant of 0.27 uM as determined in SPR assay (Biacore T200).
- Amino Acid Range: Met1-Lys35
Cynomolgus CCR8 Protein (CCR-CM308) Summary
Product Description |
Recombinant Cynomolgus CCR8 Protein is expressed from HEK293 with mFc (IgG1) tag at the C-Terminus.It contains Met1-Lys35. |
Product Background |
CC chemokine receptor (CCR) 8 (previously called CKR-L1 or TER1 and designated CD198), which is expressed on Th2 cells and eosinophils, has been implicated in allergic diseases. CCR8 may regulate monocyte chemotaxis and thymic cell line apoptosis and is alternative coreceptor with CD4 for HIV-1 infection. |
Product Category |
Recombinant Protein / Antibody discovery / Antibody discovery | Others |
Cynomolgus CCR8 Protein (CCR-CM308) Specifications/Details
Protein |
CCR8 |
Synonyms |
CCR-8; CMKBRL2; CKR-L1; GPR-CY6; GPRCY6; TER1; CCR8; CKRL1; CMKBR8; CD198; ChemR1; CKR-L1; CY6; TER-1; CDw198 |
Accession |
|
Species |
Cynomolgus |
Biotinylated |
no |
Amino Acid Range |
Met1-Lys35 |
Molecular Weight |
The protein has a predicted MW of 29.73 kDa. Due to glycosylation, the protein migrates to 35-45 kDa based on Bis-Tris PAGE result. |
Activity |
Immobilized Cynomolgus CCR8, mFc Tag at 1ug/ml (100ul/well) on the plate. Dose response curve for Anti-CCR8 Antibody, hFc Tag with the EC50 of 6.1ng/ml determined by ELISA. The affinity constant of 0.27 uM as determined in SPR assay (Biacore T200). |
Product Tag |
C-mFc |
Expression System |
HEK293 |
Purity |
> 95% as determined by Bis-Tris PAGE;> 95% as determined by HPLC |
Endotoxin |
Less than 1 EU per ug by the LAL method. |
Shipping, Reconstitution, & Storage
Form |
Lyophilized |
Shipping |
Shipped at ambient temperature. |
Formulation |
Lyophilized from 0.22um filtered solution in PBS (pH 7.4). Normally 8% trehalose is added as protectant before lyophilization. |
Reconstitution |
Dissolve the lyophilized protein in distilled water. It is recommended to resuspend at 0.5 mg/mL if the lyophilized powder is 100 ug or less, at 1mg/ml for 500ug or 1mg lyophilized powder. Do not mix by vortex or vigorous shaking. |
Stability And Storage |
-20 to -80°C for 12 months as supplied from date of receipt.;-80°C for 3 months after reconstitution.;Recommend to aliquot the protein into smaller quantities for optimal storage. Please minimize freeze-thaw cycles. |
Validation Images
Related Products
Have more questions?
Check out our Frequently Asked Questions page for more details about product specifications, ordering, and shipments.
Contact Us
More from Antibody Drug Discovery Proteins
Recently viewed
