Cynomolgus Kallikrein 5/KLK5 Protein (active form) (KLK-CM105)
Cynomolgus Kallikrein 5/KLK5 Protein (active form) (KLK-CM105)
  • Express System: HEK293
  • Product Tag: C-His
  • Purity: > 95% as determined by Bis-Tris PAGE;> 95% as determined by HPLC
  • Activity: Immobilized Cynomolgus Kallikrein 5, His Tag at 0.5ug/ml (100ul/well) on the plate. Dose response curve for Anti-Kallikrein 5 Antibody, hFc Tag with the EC50 of 5.0ng/ml determined by ELISA. See testing image for detail.Measured by its ability to cleave the fluorogenic peptide substrate Boc-VPR-AMC. The specific activity is >500 pmol/min/µg.
  • Amino Acid Range: Ile65-Ser291
  • Other Available Proteins:
    Loading...
Catalog #KLK-CM105
Regular price $420.00
/
Size

Order by 4pm ET for delivery on:

Cynomolgus Kallikrein 5/KLK5 Protein (active form) (KLK-CM105) Summary

Product Description

Recombinant Cynomolgus Kallikrein 5/KLK5 Protein (active form) is expressed from HEK293 with His tag at the C-terminus.It contains Ile65-Ser291.

Product Background

The inhibition of kallikrein 5 (KLK5) has been identified as a potential strategy for treatment of the genetic skin disorder Netherton syndrome, in which loss-of-function mutations in the SPINK5 gene lead to down-regulation of the endogenous inhibitor LEKTI-1 and profound skin-barrier defects with severe allergic manifestations. To aid in the development of a medicine for this target, an X-ray crystallographic system was developed to facilitate fragment-guided chemistry and knowledge-based drug-discovery approaches.

Product Category

Recombinant Protein / Antibody discovery / Antibody discovery/Others

Cynomolgus Kallikrein 5/KLK5 Protein (active form) (KLK-CM105) Specifications/Details

Protein
Kallikrein 5/KLK5
Synonyms
Kallikrein c; Klnc; KLK5; KLKL2; KLK-L2; SCTE
Accession
Species
Cynomolgus
Biotinylated
no
Amino Acid Range
Ile65-Ser291
Molecular Weight
The protein has a predicted MW of 26.64 kDa. Due to glycosylation, the protein migrates to 38-52 kDa based on Bis-Tris PAGE result.
Activity
Immobilized Cynomolgus Kallikrein 5, His Tag at 0.5ug/ml (100ul/well) on the plate. Dose response curve for Anti-Kallikrein 5 Antibody, hFc Tag with the EC50 of 5.0ng/ml determined by ELISA. See testing image for detail.Measured by its ability to cleave the fluorogenic peptide substrate Boc-VPR-AMC. The specific activity is >500 pmol/min/µg.
Product Tag
C-His

Fluorophore

Unconjugated
Expression System
HEK293
Purity
> 95% as determined by Bis-Tris PAGE;> 95% as determined by HPLC
Endotoxin
Less than 1 EU per ug by the LAL method.

Shipping, Reconstitution, & Storage

Form
Lyophilized
Shipping
Shipped at ambient temperature.
Formulation
Lyophilized from 0.22 um filtered solution in 20mM NaAc, 150mM NaCl, 8% trehalose (pH 5.0).
Reconstitution
Dissolve the lyophilized protein in 20mM NaAC (pH 5.0). It is recommended to resuspend at 0.5 mg/mL if the lyophilized powder is 100 ug or less, at 1mg/ml for 500ug or 1mg lyophilized powder. Do not mix by vortex or vigorous shaking.
Stability And Storage
-20 to -80°C for 12 months as supplied from date of receipt.;-80°C for 3 months after reconstitution.;Recommend to aliquot the protein into smaller quantities for optimal storage. Please minimize freeze-thaw cycles.

Validation Images

Immobilized Cynomolgus Kallikrein 5, His Tag at 0.5ug/ml (100ul/well) on the plate. Dose response curve for Anti-Kallikrein 5 Antibody, hFc Tag with the EC50 of 5.0ng/ml determined by ELISA. Immobilized Cynomolgus Kallikrein 5, His Tag at 0.5ug/ml (100ul/well) on the plate. Dose response curve for Anti-Kallikrein 5 Antibody, hFc Tag with the EC50 of 5.0ng/ml determined by ELISA.
Cynomolgus Kallikrein 5 on Bis-Tris PAGE under reduced condition. The purity is greater than 95%. Cynomolgus Kallikrein 5 on Bis-Tris PAGE under reduced condition. The purity is greater than 95%.
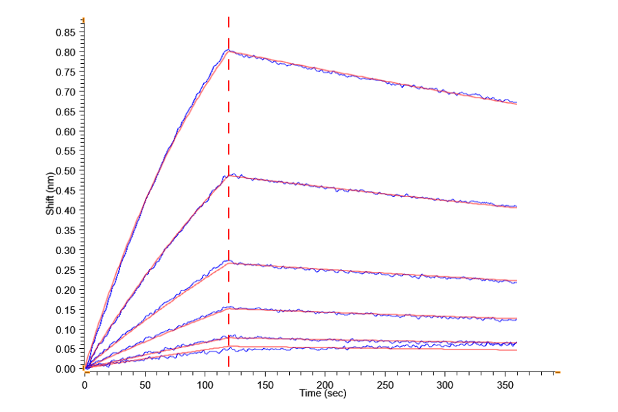
Loaded Anti-Kallikrein 5 Ab., hFc Tag on ProA-Biosensor can bind Cynomolgus Kallikrein 5, His Tag with an affinity constant of 2.95 nM as determined in BLI assay (Gator® Prime). Loaded Anti-Kallikrein 5 Ab., hFc Tag on ProA-Biosensor can bind Cynomolgus Kallikrein 5, His Tag with an affinity constant of 2.95 nM as determined in BLI assay (Gator® Prime).
The purity of Cynomolgus Kallikrein 5 is greater than 95% as determined by SEC-HPLC. The purity of Cynomolgus Kallikrein 5 is greater than 95% as determined by SEC-HPLC.
Have more questions?

Check out our Frequently Asked Questions page for more details about product specifications, ordering, and shipments.

Recommended Products

Recently viewed