
- Express System: HEK293
- Product Tag: C-His
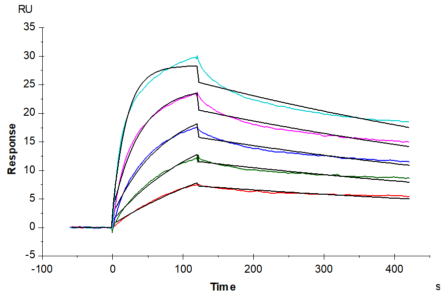
- Activity: Immobilized Human A2AR Nanodisc, His Tag at 2ug/ml (100ul/well) on the plate. Dose response curve for Anti-A2AR Antibody, mFc Tag with the EC50 of 0.15ug/ml determined by ELISA. The affinity constant of 0.32 nM as determined in SPR assay (Biacore T200). See testing image for detail.
- Amino Acid Range: Met1-Ser412