- Express System: HEK293
- Product Tag: N-His-Flag
- Purity: > 95% as determined by Bis-Tris PAGE;> 95% as determined by HPLC
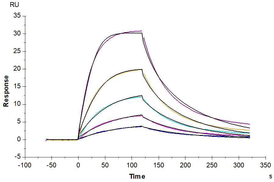
- Activity: Immobilized Human BAFF Trimer, His Tag at 2ug/ml (100ul/well). Dose response curve for Human BAFFR, hFc Tag with the EC50 of 56.9ng/ml determined by ELISA (QC Test). The affinity constant of 6.59 nM as determined in SPR assay (Biacore T200).
- Amino Acid Range: Thr141-Leu285
Human BAFF/TNFSF13B/CD257 Trimer Protein (BAF-HM112) Summary
Product Description |
Recombinant Human BAFF/TNFSF13B/CD257 Trimer Protein is expressed from HEK293 with His tag and Flag tag at the N-Terminus.It contains Thr141-Leu285 trimer design. |
Product Background |
B-cell activating factor (BAFF) also known as tumor necrosis factor ligand superfamily member 13B is a protein that in humans is encoded by the TNFSF13B gene.BAFF is a cytokine that belongs to the tumor necrosis factor (TNF) ligand family. This cytokine is a ligand for receptors TNFRSF13B/TACI, TNFRSF17/BCMA, and TNFRSF13C/BAFF-R. |
Product Category |
Recombinant Protein / Antibody discovery / Antibody discovery | Others |
Human BAFF/TNFSF13B/CD257 Trimer Protein (BAF-HM112) Specifications/Details
Protein |
BAFF/TNFSF13B/CD257 |
Synonyms |
BAFF; BLyS; CD257; TNFSF13B; TNFSF20; DTL; TALL1; TALL-1delta BAFF; TALL1Delta4 BAFF; THANK; ZTNF4; TALL-1 |
Accession |
|
Species |
Human |
Biotinylated |
no |
Amino Acid Range |
Thr141-Leu285 |
Molecular Weight |
The protein has a predicted MW of 52.4 kDa. Due to glycosylation, the protein migrates to 53-60 kDa based on Bis-Tris PAGE result. |
Activity |
Immobilized Human BAFF Trimer, His Tag at 2ug/ml (100ul/well). Dose response curve for Human BAFFR, hFc Tag with the EC50 of 56.9ng/ml determined by ELISA (QC Test). The affinity constant of 6.59 nM as determined in SPR assay (Biacore T200). |
Product Tag |
N-His-Flag |
Expression System |
HEK293 |
Purity |
> 95% as determined by Bis-Tris PAGE;> 95% as determined by HPLC |
Endotoxin |
Less than 1 EU per ug by the LAL method. |
Shipping, Reconstitution, & Storage
Form |
Lyophilized |
Shipping |
Shipped at ambient temperature. |
Formulation |
Lyophilized from 0.22um filtered solution in PBS (pH 7.4). Normally 8% trehalose is added as protectant before lyophilization. |
Reconstitution |
Dissolve the lyophilized protein in distilled water. It is recommended to resuspend at 0.5 mg/mL if the lyophilized powder is 100 ug or less, at 1mg/ml for 500ug or 1mg lyophilized powder. Do not mix by vortex or vigorous shaking. |
Stability And Storage |
-20 to -80°C for 12 months as supplied from date of receipt.;-80°C for 3 months after reconstitution.;Recommend to aliquot the protein into smaller quantities for optimal storage. Please minimize freeze-thaw cycles. |
Validation Images
Related Products
Have more questions?
Check out our Frequently Asked Questions page for more details about product specifications, ordering, and shipments.
Contact Us
More from Antibody Drug Discovery Proteins
Recently viewed
