
- Express System: HEK293
- Product Tag: C-His
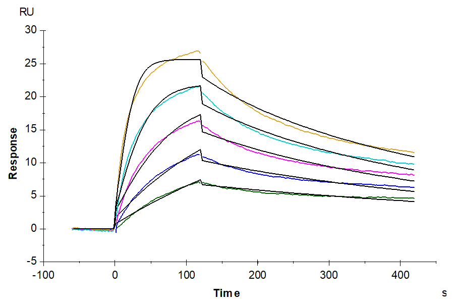
- Activity: Immobilized Human CCR7 Nanodisc, His Tag at 1ug/ml (100ul/well) on the plate. Dose response curve for Anti-CCR7 Antibody, hFc Tag with the EC50 of 0.21ug/ml determined by ELISA (QC Test). The affinity constant of 4.11 nM as determined in SPR assay (Biacore T200). See testing image for detail.
- Amino Acid Range: Met1-Pro378