Human FcRH5/FcRL5 Domain Protein (FCR-HM10D)
  • Express System: HEK293
  • Product Tag: N-His
  • Purity: > 95% as determined by Bis-Tris PAGE;> 95% as determined by HPLC
  • Activity: Immobilized Human FcRH5 Domain, His Tag at 0.5ug/ml (100ul/well) on the plate. Dose response curve for Anti-FcRH5 Antibody, hFc Tag with the EC50 of 7.8ng/ml determined by ELISA.
  • Amino Acid Range: Val745-Thr850
  • Other Available Proteins:
    Loading...
Catalog #FCR-HM10D
Regular price $345.00
/
Size

Order by 4pm ET for delivery on:

Human FcRH5/FcRL5 Domain Protein (FCR-HM10D) Summary

Product Description

Recombinant Human FcRH5/FcRL5 Domain Protein is expressed from HEK293 with His tag at the N-terminus.It contains Val745-Thr850.

Product Background

FcRH5 is a cell surface marker enriched on malignant plasma cells when compared to other hematologic malignancies and normal tissues. DFRF4539A is an anti-FcRH5 antibody-drug conjugated to monomethyl auristatin E (MMAE), a potent anti-mitotic agent.

Product Category

Recombinant Protein / Antibody discovery / ADC targets

Human FcRH5/FcRL5 Domain Protein (FCR-HM10D) Specifications/Details

Protein
FcRH5/FcRL5
Synonyms
FcR-like protein 5; FcRH5; FcRL5; BXMAS1; CD307; CD307e; IFGP5; IRTA2
Accession
Species
Human
Biotinylated
no
Amino Acid Range
Val745-Thr850
Molecular Weight
The protein has a predicted MW of 12.19 kDa. Due to glycosylation, the protein migrates to 25-40 kDa based on Bis-Tris PAGE result.
Activity
Immobilized Human FcRH5 Domain, His Tag at 0.5ug/ml (100ul/well) on the plate. Dose response curve for Anti-FcRH5 Antibody, hFc Tag with the EC50 of 7.8ng/ml determined by ELISA.
Product Tag
N-His

Fluorophore

Unconjugated
Expression System
HEK293
Purity
> 95% as determined by Bis-Tris PAGE;> 95% as determined by HPLC
Endotoxin
Less than 0.1 EU per ug by the LAL method.

Shipping, Reconstitution, & Storage

Form
Lyophilized
Shipping
Shipped at ambient temperature.
Formulation
Lyophilized from 0.22 um filtered solution in PBS (pH 7.4). Normally 8% trehalose is added as protectant before lyophilization.
Reconstitution
Dissolve the lyophilized protein in distilled water. It is recommended to resuspend at 0.5 mg/mL if the lyophilized powder is 100 ug or less, at 1mg/ml for 500ug or 1mg lyophilized powder. Do not mix by vortex or vigorous shaking.
Stability And Storage
-20 to -80°C for 12 months as supplied from date of receipt.;-80°C for 3 months after reconstitution.;Recommend to aliquot the protein into smaller quantities for optimal storage. Please minimize freeze-thaw cycles.

Validation Images

Immobilized Human FcRH5 Domain, His Tag at 0.5ug/ml (100ul/well) on the plate. Dose response curve for Anti-FcRH5 Antibody, hFc Tag with the EC50 of 7.8ng/ml determined by ELISA. Immobilized Human FcRH5 Domain, His Tag at 0.5ug/ml (100ul/well) on the plate. Dose response curve for Anti-FcRH5 Antibody, hFc Tag with the EC50 of 7.8ng/ml determined by ELISA.
Human FcRH5 Domain on Bis-Tris PAGE under reduced condition. The purity is greater than 95%. Human FcRH5 Domain on Bis-Tris PAGE under reduced condition. The purity is greater than 95%.
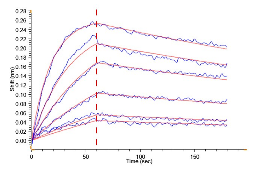
Loaded Anti-FcRH5 Antibody, hFc Tag on ProA-Biosensor can bind Human FcRH5 Domain, His Tag with an affinity constant of 7.83 nM as determined in BLI assay (Gator® Prime). Loaded Anti-FcRH5 Antibody, hFc Tag on ProA-Biosensor can bind Human FcRH5 Domain, His Tag with an affinity constant of 7.83 nM as determined in BLI assay (Gator® Prime).
The purity of Human FcRH5 Domain is greater than 95% as determined by SEC-HPLC. The purity of Human FcRH5 Domain is greater than 95% as determined by SEC-HPLC.
Have more questions?

Check out our Frequently Asked Questions page for more details about product specifications, ordering, and shipments.

Recommended Products

Recently viewed