Human FGF10 Protein (FGF-HE010) Summary
Product Description |
Recombinant Human FGF10 Protein is expressed from E.coli without tag.It contains Gln38-Ser208. |
Product Background |
Fibroblast growth factor 10 (FGF10) regulates multiple stages of structural lung morphogenesis, cellular differentiation, and the response to injury. As a driver of lung airway branching morphogenesis, FGF10 signaling defects during development lead to neonatal lung disease. Lung diseases impact patients across the lifespan, from infants in the first minutes of life through the aged population. Congenital abnormalities of lung structure can cause lung disease at birth or make adults more susceptible to chronic disease. |
Product Category |
Recombinant Protein / Antibody discovery / Antibody discovery | Others |
Human FGF10 Protein (FGF-HE010) Specifications/Details
Protein |
FGF10 |
Synonyms |
FGF-10; KGF2 |
Accession |
|
Species |
Human |
Biotinylated |
no |
Amino Acid Range |
Gln38-Ser208 |
Molecular Weight |
The protein has a predicted MW of 19.3 kDa. The protein migrates to 25 kDa based on Bis-Tris PAGE result. |
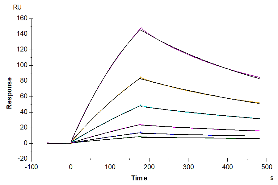
Activity |
The affinity constant of 8.43 nM as determined in SPR assay (Biacore T200). |
Product Tag |
No Tag |
Expression System |
E.coli |
Purity |
> 90% as determined by Bis-Tris PAGE |
Endotoxin |
Less than 0.1 EU per ug by the LAL method. |
Shipping, Reconstitution, & Storage
Form |
Lyophilized |
Shipping |
Shipped at ambient temperature. |
Formulation |
Lyophilized from 0.22um filtered solution in 20mM Tris, 150mM NaCl (pH 8.0). Normally 8% trehalose is added as protectant before lyophilization. |
Reconstitution |
Dissolve the lyophilized protein in distilled water. It is recommended to resuspend at 0.5 mg/mL if the lyophilized powder is 100 ug or less, at 1mg/ml for 500ug or 1mg lyophilized powder. Do not mix by vortex or vigorous shaking. |
Stability And Storage |
-20 to -80°C for 12 months as supplied from date of receipt.;-80°C for 3 months after reconstitution.;Recommend to aliquot the protein into smaller quantities for optimal storage. Please minimize freeze-thaw cycles. |
Related Products
Have more questions?
Check out our Frequently Asked Questions page for more details about product specifications, ordering, and shipments.
Contact Us
More from Antibody Drug Discovery Proteins
Recently viewed
