- Express System: HEK293
- Product Tag: C-hFc
- Purity: > 95% as determined by Bis-Tris PAGE
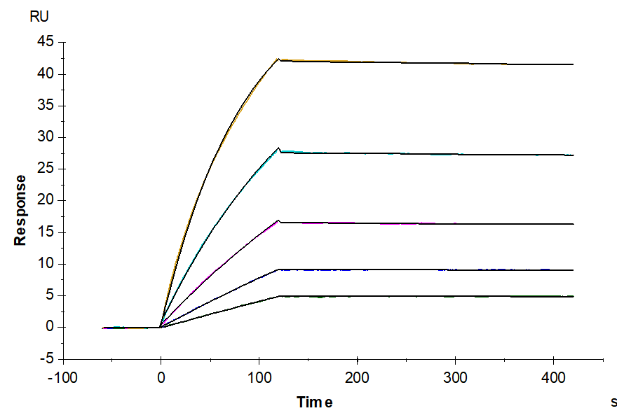
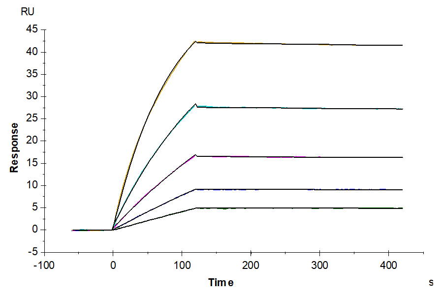
- Activity: Immobilized Human FLT3 Ligand, His Tag at 1ug/ml (100ul/Well) on the plate. Dose response curve for Human FLT3, hFc Tag with the EC50 of 13.4ng/ml determined by ELISA (QC Test). The affinity constant of 0.18 nM as determined in SPR assay (Biacore T200).
- Amino Acid Range: Asn27-Asn541
Human FLT3/Flk-2 Protein (FLT-HM230) Summary
Product Description |
Recombinant Human FLT3/Flk-2 Protein is expressed from HEK293 with hFc tag at the C-Terminus.It contains Asn27-Asn541. |
Product Background |
The Flt-3 (fms-like tyrosine kinase) receptor, also named Flk-2 (fetal liver kinase) and Stk-1(stem cell tyrosine kinase) is a member of the class III subfamily of receptor tyrosine kinases that also includes KIT, the receptor for SCF and FMS, the receptor for M-CSF. Tyrosine-protein kinase that acts as cell-surface receptor for the cytokine FLT3LG and regulates differentiation, proliferation and survival of hematopoietic progenitor cells and of dendritic cells. Promotes phosphorylation of SHC1 and AKT1, and activation of the downstream effector MTOR. Promotes activation of RAS signaling and phosphorylation of downstream kinases, including MAPK1/ERK2 and/or MAPK3/ERK1. |
Product Category |
Recombinant Protein / Antibody discovery / Antibody discovery | Others |
Human FLT3/Flk-2 Protein (FLT-HM230) Specifications/Details
Protein |
FLT3/Flk-2 |
Synonyms |
CD135; FLK2; STK-1; FLT-3 |
Accession |
|
Species |
Human |
Biotinylated |
no |
Amino Acid Range |
Asn27-Asn541 |
Molecular Weight |
The protein has a predicted MW of 84.9 kDa. Due to glycosylation, the protein migrates to 100-120 kDa based on Bis-Tris PAGE result. |
Activity |
Immobilized Human FLT3 Ligand, His Tag at 1ug/ml (100ul/Well) on the plate. Dose response curve for Human FLT3, hFc Tag with the EC50 of 13.4ng/ml determined by ELISA (QC Test). The affinity constant of 0.18 nM as determined in SPR assay (Biacore T200). |
Product Tag |
C-hFc |
Expression System |
HEK293 |
Purity |
> 95% as determined by Bis-Tris PAGE |
Endotoxin |
Less than 1 EU per ug by the LAL method. |
Shipping, Reconstitution, & Storage
Form |
Lyophilized |
Shipping |
Shipped at ambient temperature. |
Formulation |
Lyophilized from 0.22um filtered solution in PBS (pH 7.4). Normally 8% trehalose is added as protectant before lyophilization. |
Reconstitution |
Dissolve the lyophilized protein in distilled water. It is recommended to resuspend at 0.5 mg/mL if the lyophilized powder is 100 ug or less, at 1mg/ml for 500ug or 1mg lyophilized powder. Do not mix by vortex or vigorous shaking. |
Stability And Storage |
-20 to -80°C for 12 months as supplied from date of receipt.;-80°C for 3 months after reconstitution.;Recommend to aliquot the protein into smaller quantities for optimal storage. Please minimize freeze-thaw cycles. |
Validation Images
Related Products
Have more questions?
Check out our Frequently Asked Questions page for more details about product specifications, ordering, and shipments.
Contact Us
More from Antibody Drug Discovery Proteins
Recently viewed
