
- Express System: HEK293
- Product Tag: C-His
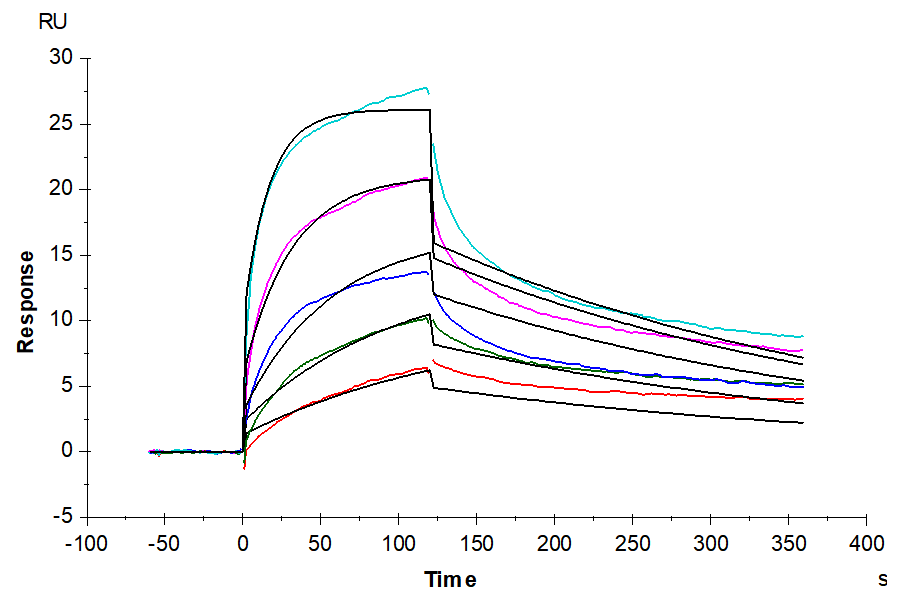
- Activity: Immobilized Human GPRC5D Nanodisc, His Tag at 1ug/ml (100ul/well) on the plate. Dose response curve for Anti-GPRC5D Antibody, hFc Tag with the EC50 of 5.8ng/ml determined by ELISA. The affinity constant of 1.47 nM as determined in SPR assay (Biacore T200). See testing image for detail.
- Amino Acid Range: Met1-Val345