- Express System: HEK293
- Product Tag: C-His-Avi
- Purity: > 95% as determined by Bis-Tris PAGE;> 95% as determined by HPLC
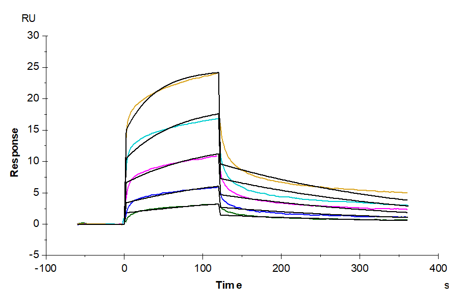
- Activity: Immobilized Human HLA-E*01:03&B2M&Peptide (VMAPRTLVL) Tetramer, His Tag at 0.5ug/ml (100ul/well) on the plate. Dose response curve for Anti-B2M Antibody, mFc Tag with the EC50 of 8.6ng/ml determined by ELISA (QC Test). The affinity constant of 17.61 nM as determined in SPR assay (Biacore T200).
- Amino Acid Range: Gly22-Thr302(HLA-E*01:03), Ile21-Met119(B2M) and VMAPRTLVL peptide
Human HLA-E*01:03&B2M&Peptide (VMAPRTLVL) Tetramer Protein (MHC-HM406T) Summary
Product Description |
Recombinant Human HLA-E*01:03&B2M&Peptide (VMAPRTLVL) Tetramer Protein is expressed from HEK293 with His tag and Avi tag at the C-Terminus,tetramer is assembled by biotinylated monomer and streptavidin.It contains Gly22-Thr302(HLA-E*01:03), Ile21-Met119(B2M) and VMAPRTLVL peptide. |
Product Background |
HLA-E is a nonclassical member of the major histocompatibility complex class I gene locus. HLA-E protein shares a high level of homology with MHC Ia classical proteins: it has similar tertiary structure, associates with β2-microglobulin, and is able to present peptides to cytotoxic lymphocytes. The main function of HLA-E under normal conditions is to present peptides derived from the leader sequences of classical HLA class I proteins, thus serving for monitoring of expression of these molecules performed by cytotoxic lymphocytes. |
Product Category |
Recombinant Protein / Antibody discovery / MHC / Peptide-MHCs |
HLA-E*01:03&B2M&Peptide (VMAPRTLVL) Specifications
Protein |
HLA-E*01:03&B2M&Peptide (VMAPRTLVL) |
Synonyms |
HLAE; sHLA-E; HLAE; MHC class I antigen E; MHC HLA-E alpha-1; MHC HLA-E alpha-2.1; MHC; QA1 |
MHC Form |
Tetramer |
Allele |
HLA-E*01:03 |
Accession |
P13747(HLA-E*01:03)&P61769(B2M)&VMAPRTLVL |
Species |
Human |
Biotinylated |
no |
Amino Acid Range |
Gly22-Thr302(HLA-E*01:03), Ile21-Met119(B2M) and VMAPRTLVL peptide |
Molecular Weight |
The protein has a predicted MW of 258 kDa. Due to glycosylation, the protein migrates to 260-265 kDa under Non reduced (N) condition based on Bis-Tris PAGE result. |
Activity |
Immobilized Human HLA-E*01:03&B2M&Peptide (VMAPRTLVL) Tetramer, His Tag at 0.5ug/ml (100ul/well) on the plate. Dose response curve for Anti-B2M Antibody, mFc Tag with the EC50 of 8.6ng/ml determined by ELISA (QC Test). The affinity constant of 17.61 nM as determined in SPR assay (Biacore T200). |
Product Tag |
C-His-Avi |
Expression System |
HEK293 |
Purity |
> 95% as determined by Bis-Tris PAGE;> 95% as determined by HPLC |
Endotoxin |
Less than 1 EU per ug by the LAL method. |
Shipping, Reconstitution, & Storage
Form |
Lyophilized |
Shipping |
Shipped at ambient temperature. |
Formulation |
Lyophilized from 0.22um filtered solution in PBS (pH 7.4). Normally 8% trehalose is added as protectant before lyophilization. |
Reconstitution |
Dissolve the lyophilized protein in distilled water. It is recommended to resuspend at 0.5 mg/mL if the lyophilized powder is 100 ug or less, at 1mg/ml for 500ug or 1mg lyophilized powder. Do not mix by vortex or vigorous shaking. |
Stability And Storage |
-20 to -80°C for 12 months as supplied from date of receipt.;-80°C for 3 months after reconstitution.;Recommend to aliquot the protein into smaller quantities for optimal storage. Please minimize freeze-thaw cycles. |
Validation Images
Additional Information
Related Products
Have more questions?
Check out our Frequently Asked Questions page for more details about product specifications, ordering, and shipments.
Contact Us
More from Antibody Drug Discovery Proteins
Recently viewed
