Human HVEM/TNFRSF14 Protein (HVE-HM111) Summary
Product Description |
Recombinant Human HVEM/TNFRSF14 Protein is expressed from HEK293 with His tag at the C-Terminus; It contains Leu39-Val202. |
Product Background |
Herpesvirus entry mediator (HVEM), also known as tumor necrosis factor receptor superfamily member 14 (TNFRSF14), is a human cell surface receptor of the TNF-receptor superfamily. Two TNF superfamily ligands lymphotoxin α (TNF-β) and LIGHT (TNFSF14) are identified as cellular ligands for HVEM and initiate the positive signaling. |
Product Category |
Recombinant Protein / Antibody discovery / Immune checkpoint proteins |
Human HVEM/TNFRSF14 Protein (HVE-HM111) Specifications/Details
Protein |
HVEM/TNFRSF14 |
Synonyms |
CD270; CD40-like protein;- HVEM; LIGHTR; ATAR; TNFRSF14; TR2 |
Accession |
|
Species |
Human |
Biotinylated |
no |
Amino Acid Range |
Leu39-Val202 |
Molecular Weight |
The protein has a predicted MW of 18.5 kDa. Due to glycosylation, the protein migrates to 32-48 kDa based on Bis-Tris PAGE result. |
Activity |
Immobilized Human HVEM, His Tag at 5ug/ml (100 ul/Well) on the plate. Dose response curve for Human CD160, hFc Tag with the EC50 of 84.6 ng/ml determined by ELISA (QC Test). |
Product Tag |
C-His |
Expression System |
HEK293 |
Purity |
> 95% as determined by Bis-Tris PAGE |
Endotoxin |
Less than 1 EU per ug by the LAL method. |
Shipping, Reconstitution, & Storage
Form |
Lyophilized |
Shipping |
Shipped at ambient temperature. |
Formulation |
Lyophilized from 0.22 um filtered solution in PBS (pH 7.4). Normally 8% trehalose is added as protectant before lyophilization. |
Reconstitution |
Dissolve the lyophilized protein in distilled water. It is recommended to resuspend at 0.5 mg/mL if the lyophilized powder is 100 ug or less, at 1mg/ml for 500ug or 1mg lyophilized powder. Do not mix by vortex or vigorous shaking. |
Stability And Storage |
-20 to -80°C for 12 months as supplied from date of receipt.;-80°C for 3 months after reconstitution.;Recommend to aliquot the protein into smaller quantities for optimal storage. Please minimize freeze-thaw cycles. |
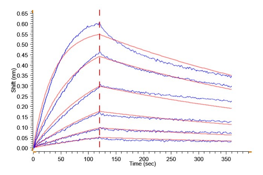
Validation Images
Related Products
Have more questions?
Check out our Frequently Asked Questions page for more details about product specifications, ordering, and shipments.
Contact Us
More from Antibody Drug Discovery Proteins
Recently viewed
