- Express System: E.coli
- Product Tag: No Tag
- Purity: > 95% as determined by Bis-Tris PAGE;> 95% as determined by HPLC
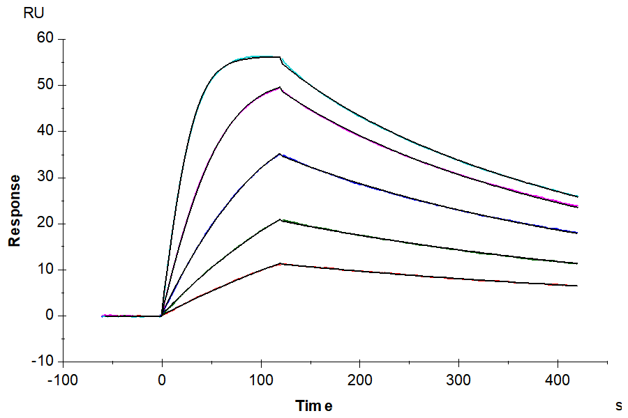
- Activity: The affinity constant of 0.51 nM as determined in SPR assay (Biacore T200).
- Amino Acid Range: Ser113-Ala271
Human IL-1 alpha/IL-1A Protein (IL1-HE00A) Summary
Product Description |
Recombinant Human IL-1 alpha/IL-1A Protein is expressed from E.coli without tag.It contains Ser113-Ala271. |
Product Background |
The interleukin (IL)-1 family of cytokines is currently comprised of 11 members that have pleiotropic functions in inflammation and cancer. IL-1α and IL-1β were the first members of the IL-1 family to be described, and both signal via the same receptor, IL-1R. Over the last decade, much progress has been made in our understanding of biogenesis of IL-1β and its functions in human diseases. |
Product Category |
Recombinant Protein / Antibody discovery / Antibody discovery | Others |
Human IL-1 alpha/IL-1A Protein (IL1-HE00A) Specifications/Details
Protein |
IL-1 alpha/IL1A |
Synonyms |
Interleukin-1 alpha; IL-1 alpha; Hematopoietin-1; IL1A; IL1F1; IL-1 ALPHA; IL1α; IL-1A; IL1 |
Accession |
|
Species |
Human |
Biotinylated |
no |
Amino Acid Range |
Ser113-Ala271 |
Molecular Weight |
The protein has a predicted MW of 18 kDa same as Bis-Tris PAGE result. |
Activity |
The affinity constant of 0.51 nM as determined in SPR assay (Biacore T200). |
Product Tag |
No Tag |
Expression System |
E.coli |
Purity |
> 95% as determined by Bis-Tris PAGE;> 95% as determined by HPLC |
Endotoxin |
Less than 0.05 EU per ug by the LAL method. |
Shipping, Reconstitution, & Storage
Form |
Lyophilized |
Shipping |
Shipped at ambient temperature. |
Formulation |
Lyophilized from 0.22um filtered solution in PBS (pH 7.4). Normally 8% trehalose is added as protectant before lyophilization. |
Reconstitution |
Dissolve the lyophilized protein in distilled water. It is recommended to resuspend at 0.5 mg/mL if the lyophilized powder is 100 ug or less, at 1mg/ml for 500ug or 1mg lyophilized powder. Do not mix by vortex or vigorous shaking. |
Stability And Storage |
-20 to -80°C for 12 months as supplied from date of receipt.;-80°C for 3 months after reconstitution.;Recommend to aliquot the protein into smaller quantities for optimal storage. Please minimize freeze-thaw cycles. |
Validation Images
Related Products
Have more questions?
Check out our Frequently Asked Questions page for more details about product specifications, ordering, and shipments.
Contact Us
More from Antibody Drug Discovery Proteins
Recently viewed
