- Express System: E.coli
- Product Tag: No Tag
- Purity: > 95% as determined by Bis-Tris PAGE;> 95% as determined by HPLC
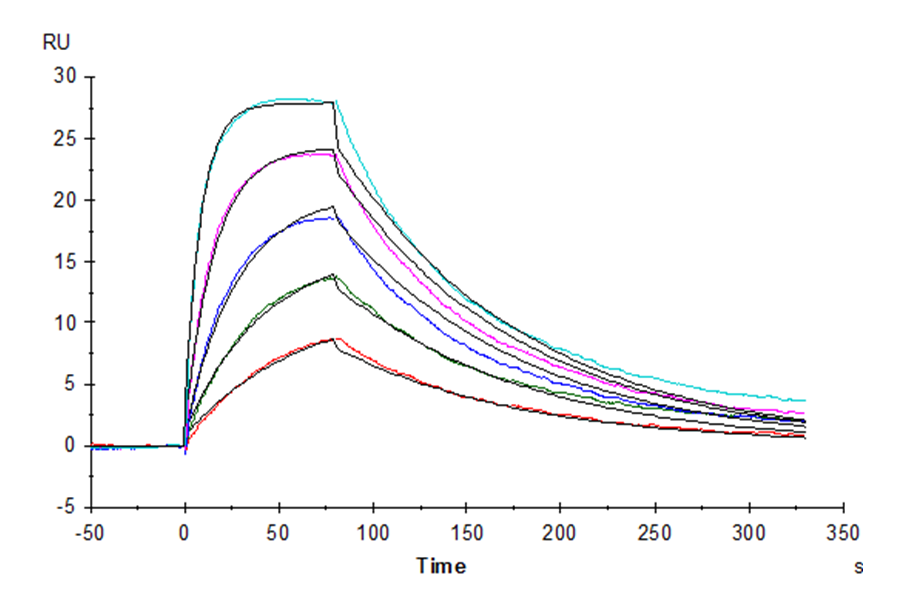
- Activity: Immobilized Human IL-15, No Tag at 2 ug/ml (100 ul/Well) on the plate. Dose response curve for Human IL-15RA, His Tag with the EC50 of 15.4 ng/ml determined by ELISA. The affinity constant of 5.9 nM as determined in SPR assay (Biacore T200).
- Amino Acid Range: Asn49-Ser162
Human IL-15 Protein (IL5-HE015) Summary
Product Description |
Recombinant Human IL-15 Protein is expressed from E.coli without tag.It contains Asn49-Ser162. |
Product Background |
Interleukin 15 (IL-15) is a widely expressed 14 kDa cytokine that is structurally and functionally related to IL-2 and plays an important role in many immunological diseases. IL-15 is a cytokine that stimulates the proliferation of T-lymphocytes. Stimulation by IL15 requires interaction of IL15 with components of the IL2 receptor, including IL2RB and probably IL2RG but not IL2RA. |
Product Category |
Recombinant Protein / Antibody discovery / Antibody discovery | Others |
Human IL-15 Protein (IL5-HE015) Specifications/Details
Protein |
IL-15 |
Synonyms |
L15; IL-15; IL-15MGC9721; Interleukin-15 |
Accession |
|
Species |
Human |
Biotinylated |
no |
Amino Acid Range |
Asn49-Ser162 |
Molecular Weight |
The protein has a predicted MW of 12.8 kDa same as Bis-Tris PAGE result. |
Activity |
Immobilized Human IL-15, No Tag at 2 ug/ml (100 ul/Well) on the plate. Dose response curve for Human IL-15RA, His Tag with the EC50 of 15.4 ng/ml determined by ELISA. The affinity constant of 5.9 nM as determined in SPR assay (Biacore T200). |
Product Tag |
No Tag |
Expression System |
E.coli |
Purity |
> 95% as determined by Bis-Tris PAGE;> 95% as determined by HPLC |
Endotoxin |
Less than 0.05 EU per ug by the LAL method. |
Shipping, Reconstitution, & Storage
Form |
Lyophilized |
Shipping |
Shipped at ambient temperature. |
Formulation |
Lyophilized from 0.22 um filtered solution in 20 mM Tris, 150 mM NACI (pH 7.5). Normally 8% mannitol is added as protectant before lyophilization. |
Reconstitution |
Dissolve the lyophilized protein in distilled water. It is recommended to resuspend at 0.5 mg/mL if the lyophilized powder is 100 ug or less, at 1mg/ml for 500ug or 1mg lyophilized powder. Do not mix by vortex or vigorous shaking. |
Stability And Storage |
-20 to -80°C for 12 months as supplied from date of receipt.;-80°C for 3 months after reconstitution.;Recommend to aliquot the protein into smaller quantities for optimal storage. Please minimize freeze-thaw cycles. |
Validation Images
Related Products
Have more questions?
Check out our Frequently Asked Questions page for more details about product specifications, ordering, and shipments.
Contact Us
More from Antibody Drug Discovery Proteins
Recently viewed
