- Express System: E.coli
- Product Tag: No Tag
- Purity: > 95% as determined by Bis-Tris PAGE;> 95% as determined by HPLC
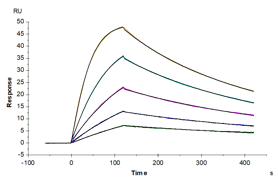
- Activity: Immobilized Human IL-18 at 5ug/ml (100ul/Well) on the plate. Dose response curve for Human IL-18BP, hFc Tag with the EC50 of 62.0ng/ml determined by ELISA (QC Test). The affinity constant of 2.38 nM as determined in SPR assay (Biacore T200).
- Amino Acid Range: Tyr37-Asp193
Human IL-18 Protein (IL1-HE018) Summary
Product Description |
Recombinant Human IL-18 Protein is expressed from E.coli without tag.It contains Tyr37-Asp193. |
Product Background |
Interleukin (IL)-18 was originally discovered as a factor that enhanced IFN-γ production from anti-CD3-stimulated Th1 cells, especially in the presence of IL-12. Upon stimulation with Ag plus IL-12, naïve T cells develop into IL-18 receptor (IL-18R) expressing Th1 cells, which increase IFN-γ production in response to IL-18 stimulation. |
Product Category |
Recombinant Protein / Antibody discovery / Antibody discovery | Others |
Human IL-18 Protein (IL1-HE018) Specifications/Details
Protein |
IL-18 |
Synonyms |
IL-18; IL18; IGIF; IL-1F4; IL-1 gamma; IL1F4; IL-1g; Interleukin 1; IL-1γ; IL-1 γ |
Accession |
|
Species |
Human |
Biotinylated |
no |
Amino Acid Range |
Tyr37-Asp193 |
Molecular Weight |
The protein has a predicted MW of 18.2 kDa same as Bis-Tris PAGE result. |
Activity |
Immobilized Human IL-18 at 5ug/ml (100ul/Well) on the plate. Dose response curve for Human IL-18BP, hFc Tag with the EC50 of 62.0ng/ml determined by ELISA (QC Test). The affinity constant of 2.38 nM as determined in SPR assay (Biacore T200). |
Product Tag |
No Tag |
Expression System |
E.coli |
Purity |
> 95% as determined by Bis-Tris PAGE;> 95% as determined by HPLC |
Endotoxin |
Less than 0.1 EU per ug by the LAL method. |
Shipping, Reconstitution, & Storage
Form |
Lyophilized |
Shipping |
Shipped at ambient temperature. |
Formulation |
Lyophilized from 0.22um filtered solution in 20mM PB, 250mM NaCl, 50mM L-arginine (pH 7.4). Normally 8% trehalose is added as protectant before lyophilization. |
Reconstitution |
Dissolve the lyophilized protein in distilled water. It is recommended to resuspend at 0.5 mg/mL if the lyophilized powder is 100 ug or less, at 1mg/ml for 500ug or 1mg lyophilized powder. Do not mix by vortex or vigorous shaking. |
Stability And Storage |
-20 to -80°C for 12 months as supplied from date of receipt.;-80°C for 3 months after reconstitution.;Recommend to aliquot the protein into smaller quantities for optimal storage. Please minimize freeze-thaw cycles. |
Validation Images
Related Products
Have more questions?
Check out our Frequently Asked Questions page for more details about product specifications, ordering, and shipments.
Contact Us
More from Antibody Drug Discovery Proteins
Recently viewed
