
- Express System: HEK293
- Product Tag: C-His
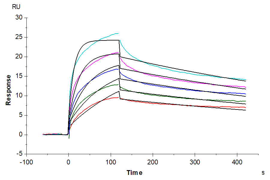
- Activity: Immobilized Human R-Spondin 3, hFc Tag at 5ug/ml (100ul/well) on the plate. Dose response curve for Human LGR-4 Nanodisc, His Tag with the EC50 of 0.36ug/ml determined by ELISA (QC Test). The affinity constant of 0.40 nM as determined in SPR assay (Biacore T200). See testing image for detail.
- Amino Acid Range: Met1-Asp951