Human PLAU/uPA Protein (active form) (PLA-HM101) Summary
Product Description |
Recombinant Human PLAU/uPA Protein (active form) is expressed from HEK293 with His tag at the C-Terminus.It contains Ser21-Leu431, which consists of two chains: Long chain A (Ser21-Phe177) and chain B (Ile179-Leu431). The long chain A is further cleaved to yield a short chain A (Lys156-Phe177) and N-Terminus fragment (Ser21-Lys155). |
Product Background |
Plasminogen activator, urokinase (uPA) is a secreted serine protease, cleaving the sequence Cys-Pro-Gly-Arg560-Val561-Val-Gly-Gly-Cys in plasminogen to form plasmin. Dysregulation of PLAU is often accompanied by various cancers and PLAU inhibition could suppress tumor growth. Collectively, PLAU is necessary for tumor progression and can be a diagnostic and prognostic biomarker in HNSCC. |
Product Category |
Recombinant Protein / Antibody discovery / Antibody discovery | Others |
Human PLAU/uPA Protein (active form) (PLA-HM101) Specifications/Details
Protein |
PLAU/uPA |
Synonyms |
PLAU; Urokinase; ATF; UPA; URK; u-PA; BDPLT5; QPD |
Accession |
|
Species |
Human |
Biotinylated |
no |
Amino Acid Range |
Ser21-Leu431 |
Molecular Weight |
The protein has a predicted MW of 47.5 kDa. The protein migrates to 30-38 kDa and 17 kDa based on Bis-Tris PAGE result. |
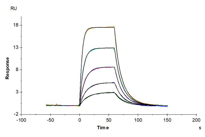
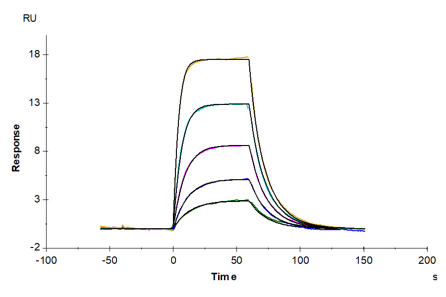
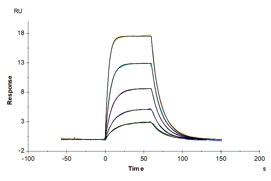
Activity |
Measured by its ability to cleave a peptide substrate, N-carbobenzyloxy-Gly-Gly-Arg-7-amido-4-methylcoumarin (Z-GGR-AMC). The specific activity is >2000 pmol/min/ug (QC Test). |
Product Tag |
C-His |
Expression System |
HEK293 |
Purity |
> 95% as determined by Bis-Tris PAGE;> 95% as determined by HPLC |
Endotoxin |
Less than 1 EU per ug by the LAL method. |
Shipping, Reconstitution, & Storage
Form |
Lyophilized |
Shipping |
Shipped at ambient temperature. |
Formulation |
Lyophilized from 0.22 um filtered solution in 1% HCOOH, 1 mM DTT (pH 3.0). Normally 8% trehalose is added as protectant before lyophilization. |
Reconstitution |
Dissolve the lyophilized protein in 1% HCOOH, 1mM DTT (pH 3.0). It is recommended to resuspend at 0.5 mg/mL if the lyophilized powder is 100 ug or less, at 1mg/ml for 500ug or 1mg lyophilized powder. Do not mix by vortex or vigorous shaking. It is recommended to resuspend at 0.5 mg/mL if the lyophilized powder is 100 ug or less, at 1mg/ml for 500ug or 1mg lyophilized powder. Do not mix by vortex or vigorous shaking. |
Stability And Storage |
-20 to -80°C for 12 months as supplied from date of receipt.;-80°C for 3 months after reconstitution.;Recommend to aliquot the protein into smaller quantities for optimal storage. Please minimize freeze-thaw cycles. |
Related Products
Have more questions?
Check out our Frequently Asked Questions page for more details about product specifications, ordering, and shipments.
Contact Us
More from Antibody Drug Discovery Proteins
Recently viewed
