- Express System: HEK293
- Product Tag: C-His-Avi
- Purity: > 90% as determined by Bis-Tris PAGE;> 95% as determined by HPLC
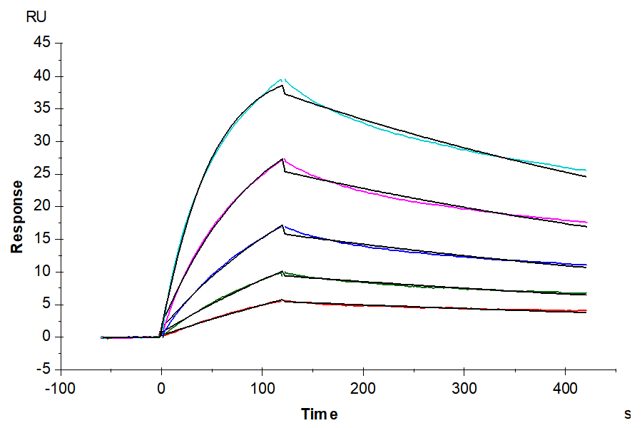
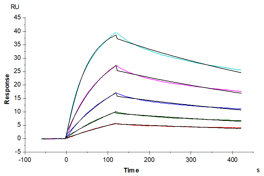
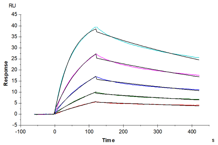
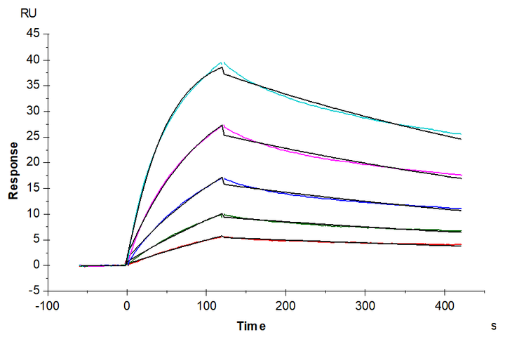
- Activity: Immobilized Human TNF alpha, His Tag at 5ug/ml (100ul/well) on the plate. Dose response curve for Human TNFR2, mFc Tag with the EC50 of 45.8ng/ml determined by ELISA (QC Test). The affinity constant of 1.62 nM as determined in SPR assay (Biacore T200).
- Amino Acid Range: Val77-Leu233
Non-biotinylated Human TNF alpha Protein (active trimer) (TNF-HM40A) Summary
Product Description |
Recombinant Human TNF alpha Protein is expressed from HEK293 with His tag and Avi tag at the C-Terminus.It contains Val77-Leu233. |
Product Background |
Tumor necrosis factor alpha (TNF-alpha), also known as cachectin and TNFSF2, is the prototypic ligand of the TNF superfamily. It is a pleiotropic molecule that plays a central role in inflammation, immune system development, apoptosis, and lipid metabolism.Cytokine that binds to TNFRSF1A/TNFR1 and TNFRSF1B/TNFBR. It is mainly secreted by macrophages and can induce cell death of certain tumor cell lines. It is potent pyrogen causing fever by direct action or by stimulation of interleukin-1 secretion and is implicated in the induction of cachexia, Under certain conditions it can stimulate cell proliferation and induce cell differentiation. |
Product Category |
Recombinant Protein / Antibody discovery / Antibody discovery | Others |
Non-biotinylated Human TNF alpha Protein (active trimer) (TNF-HM40A) Specifications/Details
Protein |
TNF alpha |
Synonyms |
APC1 protein; Cachectin; DIF; TNF; TNFalpha; TNFATNF; TNFSF1A; TNFSF2; TNFA; TNFα; DIF; TNFSF2;TNF-alpha |
Accession |
|
Species |
Human |
Biotinylated |
no |
Amino Acid Range |
Val77-Leu233 |
Molecular Weight |
The protein has a predicted MW of 20.3 kDa. Due to glycosylation, the protein migrates to 21-25 kDa based on Bis-Tris PAGE result. |
Activity |
Immobilized Human TNF alpha, His Tag at 5ug/ml (100ul/well) on the plate. Dose response curve for Human TNFR2, mFc Tag with the EC50 of 45.8ng/ml determined by ELISA (QC Test). The affinity constant of 1.62 nM as determined in SPR assay (Biacore T200). |
Product Tag |
C-His-Avi |
Expression System |
HEK293 |
Purity |
> 90% as determined by Bis-Tris PAGE;> 95% as determined by HPLC |
Endotoxin |
Less than 1 EU per ug by the LAL method. |
Shipping, Reconstitution, & Storage
Form |
Lyophilized |
Shipping |
Shipped at ambient temperature. |
Formulation |
Lyophilized from 0.22um filtered solution in PBS (pH 7.4). Normally 8% trehalose is added as protectant before lyophilization. |
Reconstitution |
Dissolve the lyophilized protein in distilled water. It is recommended to resuspend at 0.5 mg/mL if the lyophilized powder is 100 ug or less, at 1mg/ml for 500ug or 1mg lyophilized powder. Do not mix by vortex or vigorous shaking. |
Stability And Storage |
-20 to -80°C for 12 months as supplied from date of receipt.;-80°C for 3 months after reconstitution.;Recommend to aliquot the protein into smaller quantities for optimal storage. Please minimize freeze-thaw cycles. |
Validation Images
Related Products
Have more questions?
Check out our Frequently Asked Questions page for more details about product specifications, ordering, and shipments.
Contact Us
More from ADC Target Proteins
Recently viewed
