- Express System: HEK293
- Product Tag: C-mFc
- Purity: > 95% as determined by Bis-Tris PAGE;> 90% as determined by HPLC
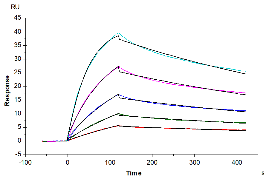
- Activity: Immobilized Human TNF alpha, His Tag at 5ug/ml (100ul/well) on the plate. Dose response curve for Human TNFR2, mFc Tag with the EC50 of 45.8ng/ml determined by ELISA (QC Test). The affinity constant of 1.62 nM as determined in SPR assay (Biacore T200).
- Amino Acid Range: Leu23-Asp257
Human TNFR2/CD120b/TNFRSF1B Protein (TNF-HM3R2) Summary
Product Description |
Recombinant Human TNF R2/CD120b/TNFRSF1B Protein is expressed from HEK293 with mFc (IgG1) tag at the C-Terminus.It contains Leu23-Asp257. |
Product Background |
Tumor Necrosis Factor Receptor II (TNF RII), also known as TNFRSF1B, p75/p80, and CD120b, is a type I transmembrane protein that belongs to the TNF receptor superfamily. It has a molecular weight of approximately 75 kDa.Receptor with high affinity for TNFSF2/TNF-alpha and approximately 5-fold lower affinity for homotrimeric TNFSF1/lymphotoxin-alpha. The TRAF1/TRAF2 complex recruits the apoptotic suppressors BIRC2 and BIRC3 to TNFRSF1B/TNFR2. This receptor mediates most of the metabolic effects of TNF-alpha. |
Product Category |
Recombinant Protein / Antibody discovery / Antibody discovery | Others |
Human TNFR2/CD120b/TNFRSF1B Protein (TNF-HM3R2) Specifications/Details
Protein |
TNFR2/CD120b/TNFRSF1B |
Synonyms |
CD120b; Etanercept; p75TBPII; p75TNFR; TNF RII; TNF-R2; TNF-R75; TNFR80; TNFRSF1B; TNFR2; TBPII; TNFBR; TNFR1B |
Accession |
|
Species |
Human |
Biotinylated |
no |
Amino Acid Range |
Leu23-Asp257 |
Molecular Weight |
The protein has a predicted MW of 51.5 kDa. Due to glycosylation, the protein migrates to 70-80 kDa based on Bis-Tris PAGE result. |
Activity |
Immobilized Human TNF alpha, His Tag at 5ug/ml (100ul/well) on the plate. Dose response curve for Human TNFR2, mFc Tag with the EC50 of 45.8ng/ml determined by ELISA (QC Test). The affinity constant of 1.62 nM as determined in SPR assay (Biacore T200). |
Product Tag |
C-mFc |
Expression System |
HEK293 |
Purity |
> 95% as determined by Bis-Tris PAGE;> 90% as determined by HPLC |
Endotoxin |
Less than 1 EU per ug by the LAL method. |
Shipping, Reconstitution, & Storage
Form |
Lyophilized |
Shipping |
Shipped at ambient temperature. |
Formulation |
Lyophilized from 0.22um filtered solution in PBS (pH 7.4). Normally 8% trehalose is added as protectant before lyophilization. |
Reconstitution |
Dissolve the lyophilized protein in distilled water. It is recommended to resuspend at 0.5 mg/mL if the lyophilized powder is 100 ug or less, at 1mg/ml for 500ug or 1mg lyophilized powder. Do not mix by vortex or vigorous shaking. |
Stability And Storage |
-20 to -80°C for 12 months as supplied from date of receipt.;-80°C for 3 months after reconstitution.;Recommend to aliquot the protein into smaller quantities for optimal storage. Please minimize freeze-thaw cycles. |
Validation Images
Related Products
Have more questions?
Check out our Frequently Asked Questions page for more details about product specifications, ordering, and shipments.
Contact Us
More from Antibody Drug Discovery Proteins
Recently viewed
