Mouse LILRB4/CD85k/ILT3 Protein (LIL-MM1B4) Summary
Product Description |
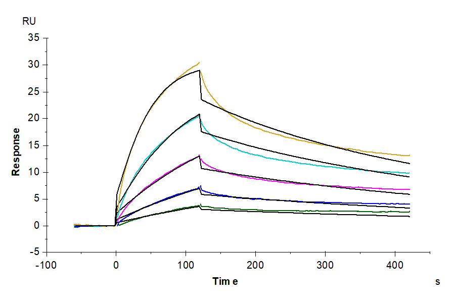
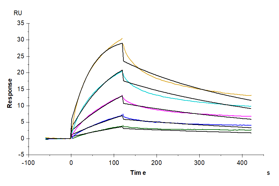
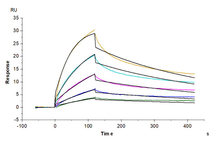
Recombinant Mouse LILRB4/CD85k/ILT3 Protein is expressed from HEK293 with His tag at the C-Terminus.It contains Gly24-Lys238. |
Product Background |
LILRB4,also known as CD85k and LIR-5, ILT3,- is an approximately 60 kDa transmembrane glycoprotein that negatively regulates immune cell activation. Mature human ILT3 consists of a 238 amino acid (aa) extracellular domain with two Ig-like domains, a 21 aa transmembrane segment, and a 168 aa cytoplasmic domain with 3 immunoreceptor tyrosine-based inhibitory motifs (ITIM).LILRB4 is receptor for class I MHC antigens. Recognizes a broad spectrum of HLA-A, HLA-B, HLA-C and HLA-G alleles. |
Product Category |
Recombinant Protein / Antibody discovery / Immune checkpoint proteins |
Mouse LILRB4/CD85k/ILT3 Protein (LIL-MM1B4) Specifications/Details
Protein |
LILRB4/CD85k/ILT3 |
Synonyms |
HM18; ILT3; ILT-3; LILRB4; LIR5; CD85K |
Accession |
|
Species |
Mouse |
Biotinylated |
no |
Amino Acid Range |
Gly24-Lys238 |
Molecular Weight |
The protein has a predicted MW of 25.1 kDa. Due to glycosylation, the protein migrates to 30-45 kDa based on Bis-Tris PAGE result. |
Product Tag |
C-His |
Expression System |
HEK293 |
Purity |
> 95% as determined by Bis-Tris PAGE;> 95% as determined by HPLC |
Endotoxin |
Less than 1 EU per ug by the LAL method. |
Shipping, Reconstitution, & Storage
Form |
Lyophilized |
Shipping |
Shipped at ambient temperature. |
Formulation |
Lyophilized from 0.22um filtered solution in PBS (pH 7.4). Normally 8% trehalose is added as protectant before lyophilization. |
Reconstitution |
Dissolve the lyophilized protein in distilled water. It is recommended to resuspend at 0.5 mg/mL if the lyophilized powder is 100 ug or less, at 1mg/ml for 500ug or 1mg lyophilized powder. Do not mix by vortex or vigorous shaking. |
Stability And Storage |
-20 to -80°C for 12 months as supplied from date of receipt.;-80°C for 3 months after reconstitution.;Recommend to aliquot the protein into smaller quantities for optimal storage. Please minimize freeze-thaw cycles. |
Related Products
Have more questions?
Check out our Frequently Asked Questions page for more details about product specifications, ordering, and shipments.
Contact Us
More from Antibody Drug Discovery Proteins
Recently viewed
