Mouse Noggin Protein (NOG-MM601) Summary
Product Description |
Recombinant Mouse Noggin Protein is expressed from HEK293 with His tag and Flag tag at the N-Terminus.It contains Gln28-Cys232. |
Product Background |
Noggin is an antagonist of bone morphogenetic proteins (BMP), being indispensable for certain developmental events.Noggin expression positively correlated with EGFR expression in both GC cell line models and The Cancer Genome Atlas human GC cohort. Targeting EGFR and its downstream pathways diminished cell proliferation which was promoted by Noggin. Noggin promotes the proliferation of GC cells by upregulating EGFR and enhancing a vicious circle formed by β‑catenin, EGFR, ERK and Akt. |
Product Category |
Recombinant Protein / Cell therapy / Cell culture / Cytokines |
Mouse Noggin Protein (NOG-MM601) Specifications/Details
Protein |
Noggin |
Synonyms |
Noggin; NOG; SYM1; SYNS1 |
Accession |
|
Species |
Mouse |
Biotinylated |
no |
Amino Acid Range |
Gln28-Cys232 |
Molecular Weight |
The protein has a predicted MW of 25.16 kDa. Due to glycosylation, the protein migrates to 28-38 kDa based on Bis-Tris PAGE result. |
Product Tag |
N-His-Flag |
Expression System |
HEK293 |
Purity |
> 95% as determined by Bis-Tris PAGE;> 90% as determined by HPLC |
Endotoxin |
Less than 1 EU per ug by the LAL method. |
Shipping, Reconstitution, & Storage
Form |
Lyophilized |
Shipping |
Shipped at ambient temperature. |
Formulation |
Lyophilized from 0.22um filtered solution in PBS, 100mM L-arginine (pH 7.4). Normally 8% trehalose is added as protectant before lyophilization. |
Reconstitution |
Dissolve the lyophilized protein in distilled water. It is recommended to resuspend at 0.5 mg/mL if the lyophilized powder is 100 ug or less, at 1mg/ml for 500ug or 1mg lyophilized powder. Do not mix by vortex or vigorous shaking. |
Stability And Storage |
-20 to -80°C for 12 months as supplied from date of receipt.;-80°C for 3 months after reconstitution.;Recommend to aliquot the protein into smaller quantities for optimal storage. Please minimize freeze-thaw cycles. |
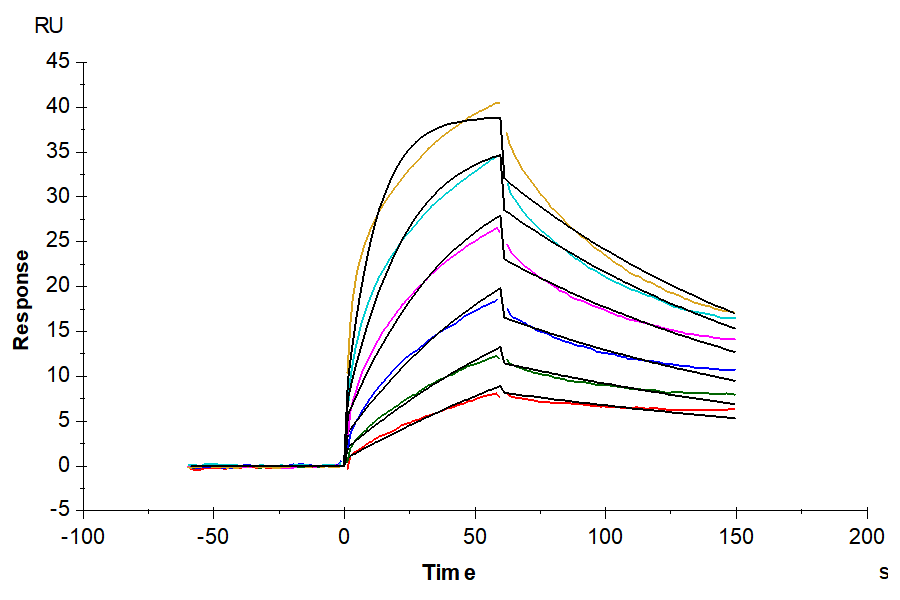
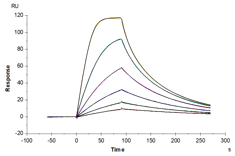
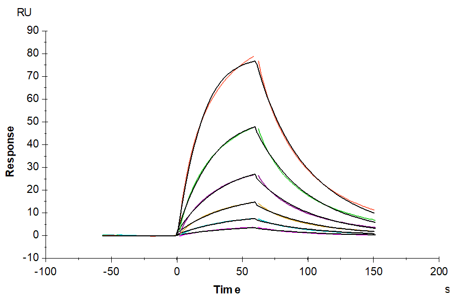
Validation Images
Related Products
Have more questions?
Check out our Frequently Asked Questions page for more details about product specifications, ordering, and shipments.
Contact Us
More from Cell Therapy Proteins
Recently viewed