- Express System: HEK293
- Product Tag: C-His
- Purity: > 95% as determined by Bis-Tris PAGE;> 95% as determined by HPLC
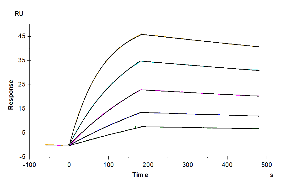
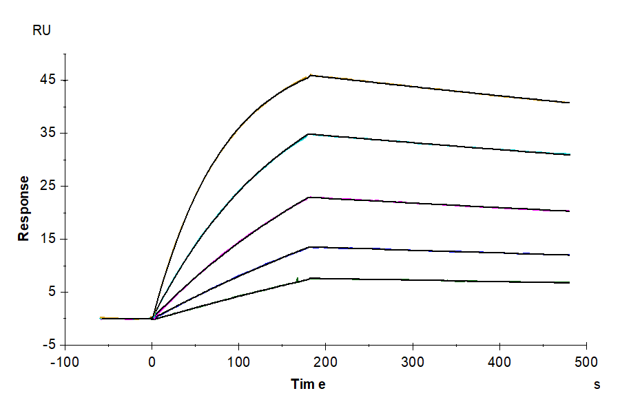
- Activity: Immobilized Cynomolgus GAS6, His Tag at 2ug/ml (100ul/well) on the plate. Dose response curve for Anti-Gas6 Antibody, hFc Tag with the EC50 of 10.0ng/ml determined by ELISA (QC Test). The affinity constant of 1.70 nM as determined in SPR assay (Biacore T200).
- Amino Acid Range: Ala31-Ala637
