
- Express System: HEK293
- Product Tag: C-His
- Purity: > 95% as determined by Bis-Tris PAGE;> 95% as determined by HPLC
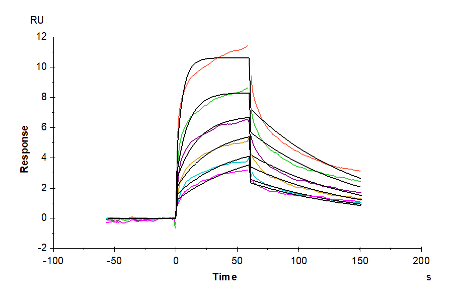
- Activity: The affinity constant of 0.12 uM as determined in SPR assay (Biacore T200).
- Amino Acid Range: Gln29-Ala248
Product Description |
Recombinant Human BTN2A1 Protein is expressed from HEK293 with His tag at the C-Terminus.It contains Gln29-Ala248. |
Product Background |
The MHC-encoded butyrophilin, BTN2A1, is a cell surface glycoprotein related to the extended family of B7 costimulatory molecules. BTN2A1 mRNA was expressed in most human tissues, but protein expression was significantly lower in leukocytes. |
Product Category |
Recombinant Protein / Antibody discovery / Antibody discovery | Others |
Protein |
BTN2A1 |
Synonyms |
BT2.1; BTF1; BK14H9.1; BTF1BT2.1; DJ3E1.1; FLJ36567 |
Accession |
|
Species |
Human |
Biotinylated |
no |
Amino Acid Range |
Gln29-Ala248 |
Molecular Weight |
The protein has a predicted MW of 25.65 kDa. Due to glycosylation, the protein migrates to 38-48 kDa based on Bis-Tris PAGE result. |
Activity |
The affinity constant of 0.12 uM as determined in SPR assay (Biacore T200). |
Product Tag |
C-His |
Expression System |
HEK293 |
Purity |
> 95% as determined by Bis-Tris PAGE;> 95% as determined by HPLC |
Endotoxin |
Less than 1 EU per ug by the LAL method. |
Form |
Lyophilized |
Shipping |
Shipped at ambient temperature. |
Formulation |
Lyophilized from 0.22um filtered solution in PBS (pH 7.4). Normally 8% trehalose is added as protectant before lyophilization. |
Reconstitution |
Dissolve the lyophilized protein in distilled water. It is recommended to resuspend at 0.5 mg/mL if the lyophilized powder is 100 ug or less, at 1mg/ml for 500ug or 1mg lyophilized powder. Do not mix by vortex or vigorous shaking. |
Stability And Storage |
-20 to -80°C for 12 months as supplied from date of receipt.;-80°C for 3 months after reconstitution.;Recommend to aliquot the protein into smaller quantities for optimal storage. Please minimize freeze-thaw cycles. |
Check out our Frequently Asked Questions page for more details about product specifications, ordering, and shipments.