- Express System: HEK293
- Product Tag: C-His-Avi
- Purity: > 95% as determined by Bis-Tris PAGE;> 95% as determined by HPLC
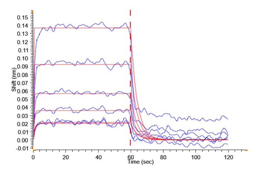
- Activity: The affinity constant of 2.17 uM as determined in SPR assay (Biacore T200).
- Amino Acid Range: Gln34-Ile218(R167)
Biotinylated Human Fc gamma RIIA/CD32a (R167) Protein (FCR-HM42AB) Summary
Product Description |
Recombinant Biotinylated Human Fc gamma RIIA/CD32a (R167) Protein is expressed from HEK293 with His tag and Avi tag at the C-Terminus.It contains Gln34-Ile218(R167). |
Product Background |
The Fc gamma Rs have been divided into three classes based on close relationships in their extracellular domains; these groups are designated Fc gamma RI (also known as CD64), Fc gamma RII (CD32), and Fc gamma RIII (CD16). Each group may be encoded by multiple genes and exist in different isoforms depending on species and cell type. The CD64 proteins are high affinity receptors (~10e-8-10e-9 M) capable of binding monomeric IgG, whereas the CD16 and CD32 proteins bind IgG with lower affinities (~10e-6-10e-7 M) only recognizing IgG aggregates surrounding multivalent antigens. |
Product Category |
Recombinant Protein / Antibody discovery / Fc receptors |
Biotinylated Human Fc gamma RIIA/CD32a (R167) Protein (FCR-HM42AB) Specifications/Details
Protein |
Fc gamma RIIA/CD32a |
Synonyms |
Fc gamma RIIA; FCG2; FCGR2; FCGR2A; FCGR2A1; FcgRIIA; FCRIIA; fcRII-a; FCG2; CD32A; FcγRIIA; Fc γRIIA; Fcγ RIIA; Fc γ RIIA |
Accession |
|
Species |
Human |
Biotinylated |
yes |
Amino Acid Range |
Gln34-Ile218(R167) |
Molecular Weight |
The protein has a predicted MW of 23.4 kDa. Due to glycosylation, the protein migrates to 30-40 kDa based on Bis-Tris PAGE result. |
Activity |
The affinity constant of 2.17 uM as determined in SPR assay (Biacore T200). |
Product Tag |
C-His-Avi |
Expression System |
HEK293 |
Purity |
> 95% as determined by Bis-Tris PAGE;> 95% as determined by HPLC |
Endotoxin |
Less than 1 EU per ug by the LAL method. |
Shipping, Reconstitution, & Storage
Form |
Lyophilized |
Shipping |
Shipped at ambient temperature. |
Formulation |
Lyophilized from 0.22um filtered solution in PBS (pH 7.4). Normally 8% trehalose is added as protectant before lyophilization. |
Reconstitution |
Dissolve the lyophilized protein in distilled water. It is recommended to resuspend at 0.5 mg/mL if the lyophilized powder is 100 ug or less, at 1mg/ml for 500ug or 1mg lyophilized powder. Do not mix by vortex or vigorous shaking. |
Stability And Storage |
-20 to -80°C for 12 months as supplied from date of receipt.;-80°C for 3 months after reconstitution.;Recommend to aliquot the protein into smaller quantities for optimal storage. Please minimize freeze-thaw cycles. |
Validation Images
Related Products
Have more questions?
Check out our Frequently Asked Questions page for more details about product specifications, ordering, and shipments.
Contact Us
More from Antibody Drug Discovery Proteins
Recently viewed
